🇳🇴 🇬🇧 🇩🇪 🇨🇿 🇫🇮

Meteor, poloha: Kviteseid 2022-08-04 22:57:02 UTC

Soubor KML  |  InteraktivnĂ­ mapa

Mapa zobrazuje dráhy meteoru. Světlejší čáry ukazují směry od pozorovacích stanic při objevení se meteoru a tmavší čáry, kde byl naposledy viděn. Modrá šipka značí viditelnou dráhu meteoru.

static map
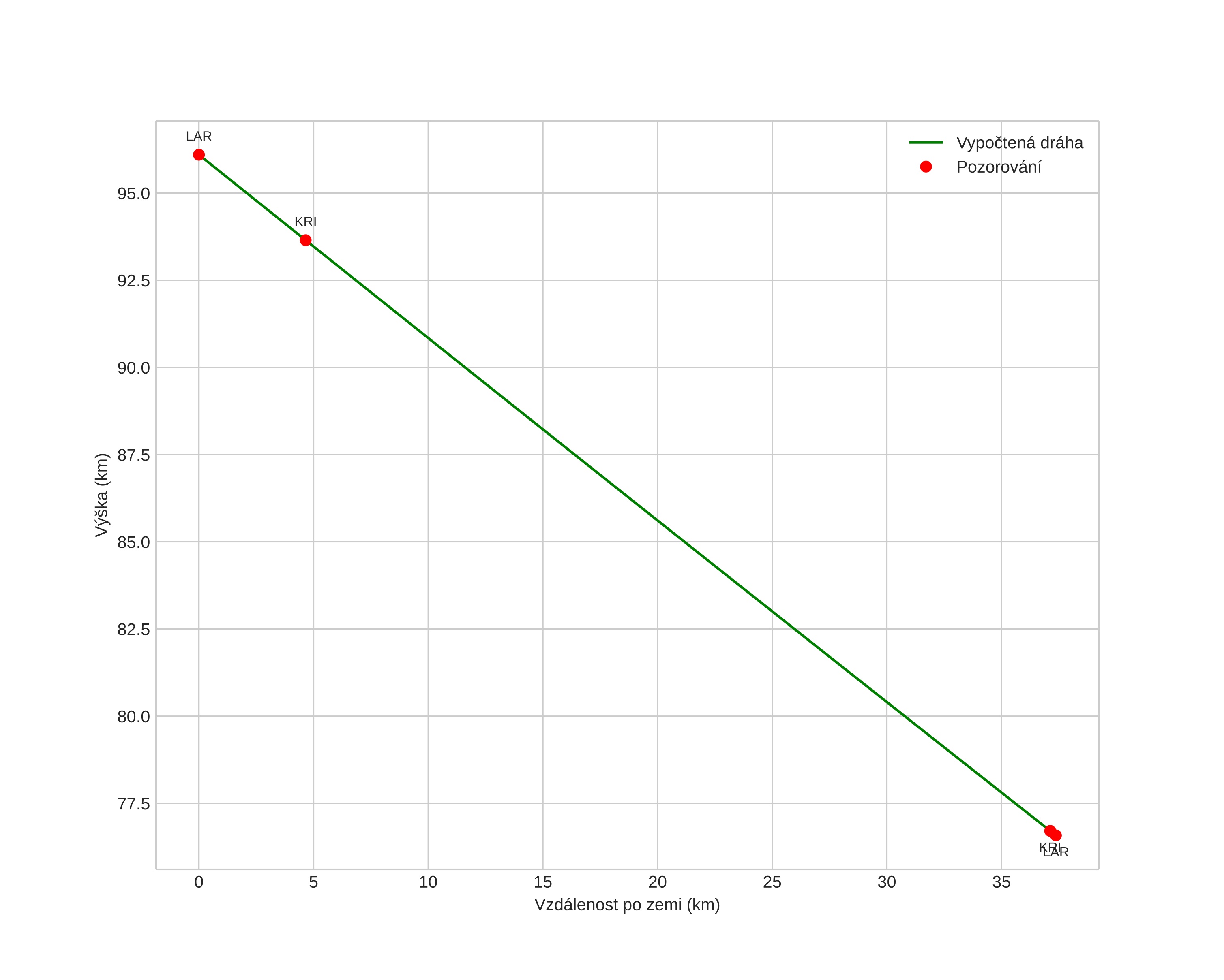
height profile
Atmosférická dráha meteoru:
Počáteční výška: 96,1 km
Konečná výška: 76,6 km
Počáteční poloha: 58,943N 8,468E
Konečná poloha: 59,278N 8,415E
Směr: 355,4°
Sklon: 27,6°
VstupnĂ­ rychlost: 25,0 km/s
Rektascenze radiantu: 20:37 (309,5°)
Deklinace radiantu: -7,3°
MeteorickĂ˝ roj: alpha-capricornidene
Elementy dráhy meteoroidu:
Vzdálenost v periheliu: 0,608 AU
Excentricita: 0,779
Sklon dráhy: 7,9°
Délka vzestupného uzlu: 132,3°
Argument perihelia: 265,2°
Střední anomálie: 350,2°
Epocha: 2022 AUG 04 22:57:02
orbit plot

NeinteraktivnĂ­ graf | InteraktivnĂ­ graf

position vs time
speed and acceleration