🇳🇴 🇬🇧 🇩🇪 🇨🇿 🇫🇮

Meteor Kviteseidin yllä 2022-08-04 22:57:02 UTC

KML-tiedosto  |  Interaktiivinen kartta

Kartta näyttää meteorin suuntahavainnot. Vaaleammat viivat näyttävät suunnat havaintoasemilta meteorin ilmestyessä, ja tummemmat viivat näyttävät, missä se viimeksi nähtiin. Sininen nuoli näyttää meteorin näkyvän lennon.

static map
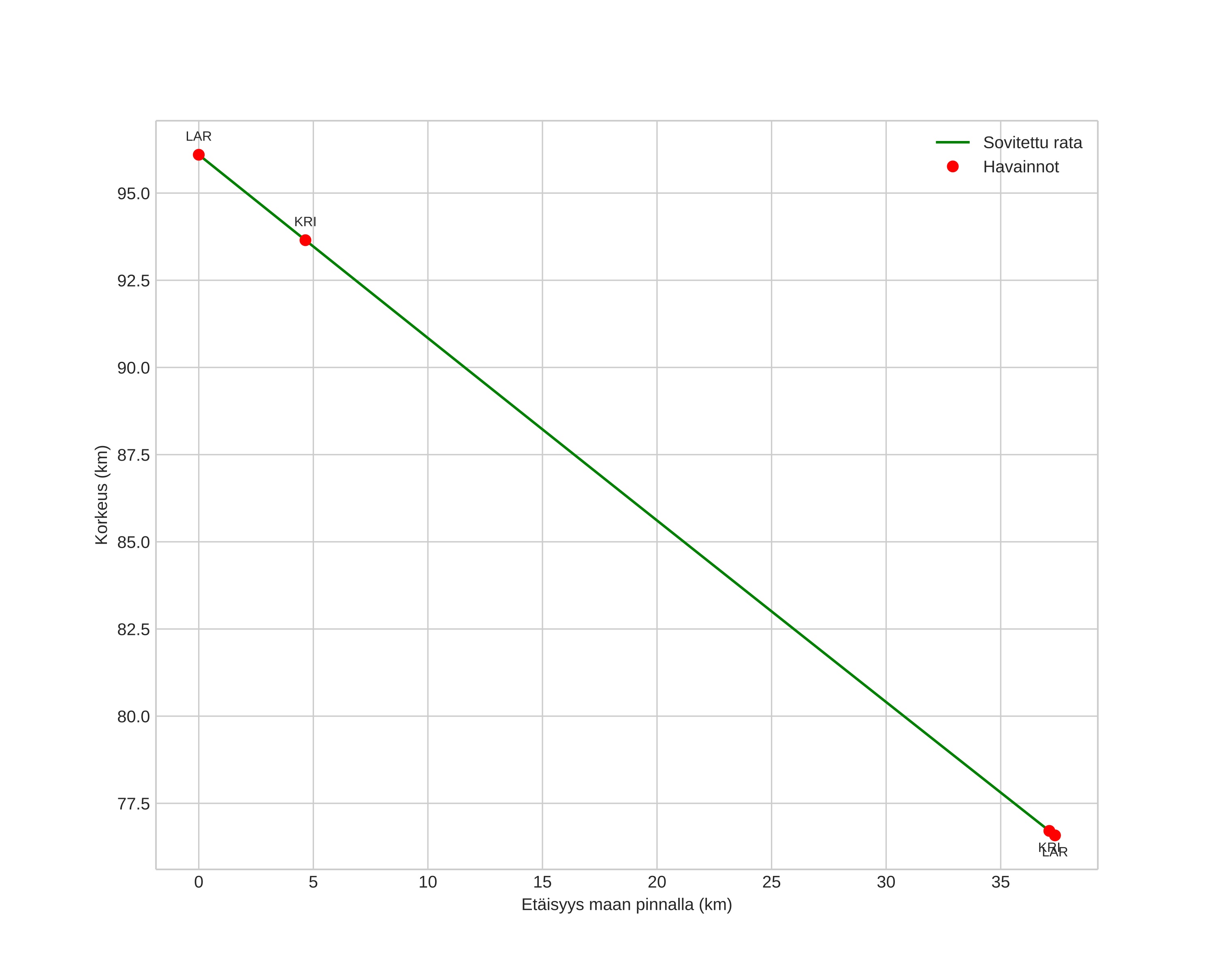
height profile
Meteorin ilmakehärata:
Alkukorkeus: 96,1 km
Loppukorkeus: 76,6 km
Alkupiste: 58,943N 8,468E
Loppupiste: 59,278N 8,415E
Suunta: 355,4°
Kallistuskulma: 27,6°
Tulonopeus: 25,0 km/s
Radiantin R,A,: 20:37 (309,5°)
Radiantin Dekl,: -7,3°
Meteoriparvi: alpha-capricornidene
Meteoroidin rataelementit:
Perihelietäisyys: 0,608 AU
Eksentrisyys: 0,779
Inklinaatio: 7,9°
Nousevan solmun pituus: 132,3°
Perihelin argumentti: 265,2°
Keskianomalia: 350,2°
Epookki: 2022 AUG 04 22:57:02
orbit plot

Ei-interaktiivinen kuvaaja | Interaktiivinen kuvaaja

position vs time
speed and acceleration