🇳🇴 🇬🇧 🇩🇪 🇨🇿 🇫🇮

Meteor, poloha: Hönö 2022-08-05 21:57:58 UTC

Soubor KML  |  InteraktivnĂ­ mapa

Mapa zobrazuje dráhy meteoru. Světlejší čáry ukazují směry od pozorovacích stanic při objevení se meteoru a tmavší čáry, kde byl naposledy viděn. Modrá šipka značí viditelnou dráhu meteoru.

static map
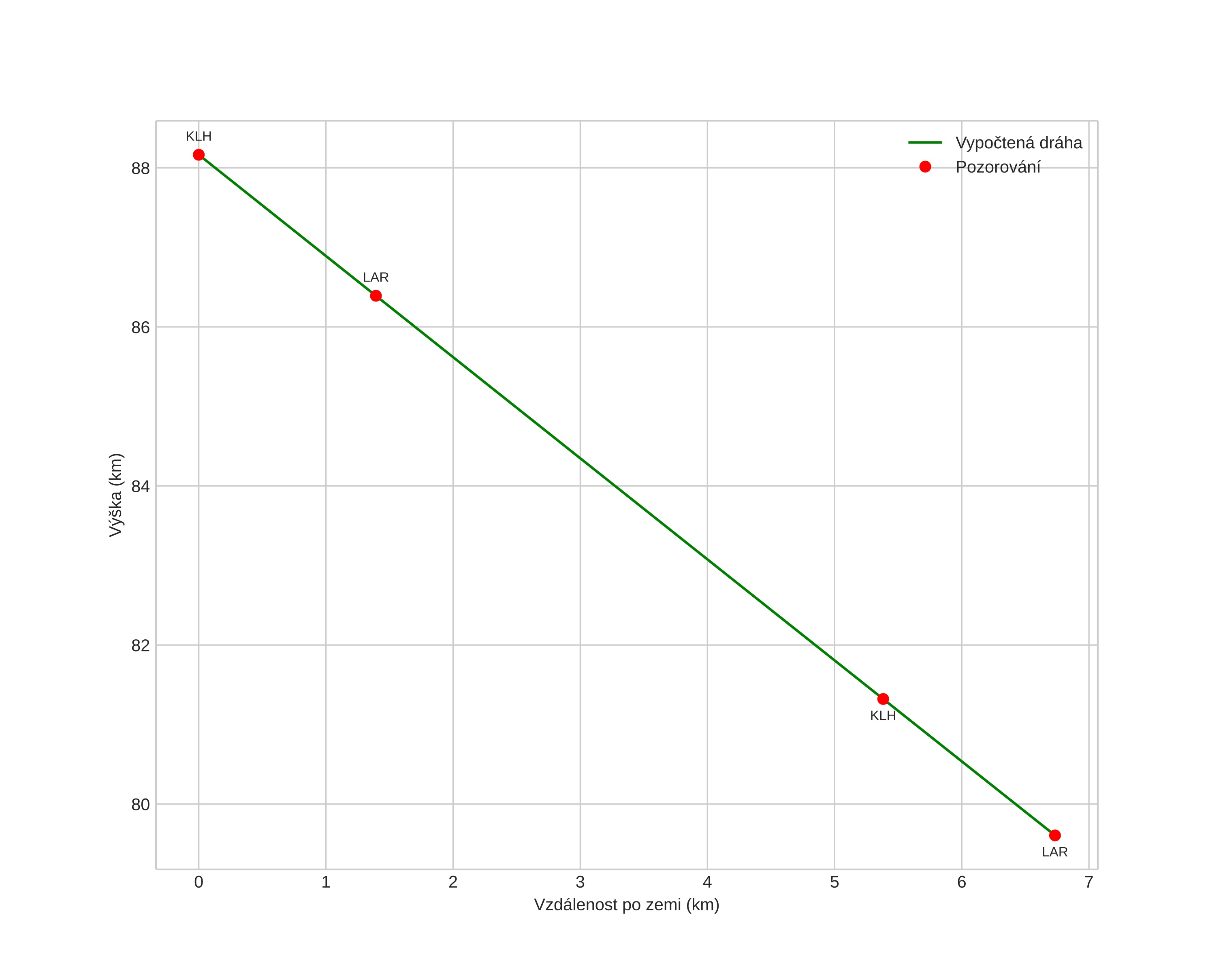
height profile
Atmosférická dráha meteoru:
Počáteční výška: 87,9 km
Konečná výška: 79,6 km
Počáteční poloha: 57,603N 11,225E
Konečná poloha: 57,557N 11,306E
Směr: 136,0°
Sklon: 49,9°
VstupnĂ­ rychlost: 25,6 km/s
Rektascenze radiantu: 13:34 (203,7°)
Deklinace radiantu: 61,7°
MeteorickĂ˝ roj: sporadickĂ˝
Elementy dráhy meteoroidu:
Vzdálenost v periheliu: 0,955 AU
Excentricita: 0,907
Sklon dráhy: 31,1°
Délka vzestupného uzlu: 133,2°
Argument perihelia: 151,4°
Střední anomálie: 0,6°
Epocha: 2022 AUG 05 21:57:58
orbit plot

NeinteraktivnĂ­ graf | InteraktivnĂ­ graf

position vs time
speed and acceleration