🇳🇴 🇬🇧 🇩🇪 🇨🇿 🇫🇮

Meteor Hönöin yllä 2022-08-05 21:57:58 UTC

KML-tiedosto  |  Interaktiivinen kartta

Kartta näyttää meteorin suuntahavainnot. Vaaleammat viivat näyttävät suunnat havaintoasemilta meteorin ilmestyessä, ja tummemmat viivat näyttävät, missä se viimeksi nähtiin. Sininen nuoli näyttää meteorin näkyvän lennon.

static map
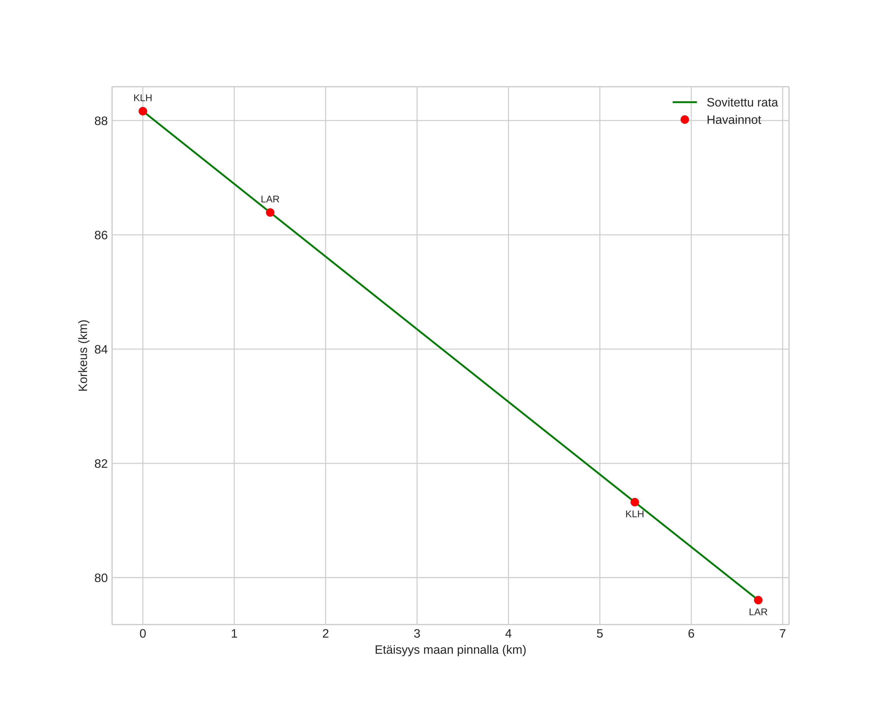
height profile
Meteorin ilmakehärata:
Alkukorkeus: 87,9 km
Loppukorkeus: 79,6 km
Alkupiste: 57,603N 11,225E
Loppupiste: 57,557N 11,306E
Suunta: 136,0°
Kallistuskulma: 49,9°
Tulonopeus: 25,6 km/s
Radiantin R,A,: 13:34 (203,7°)
Radiantin Dekl,: 61,7°
Meteoriparvi: Sporadinen
Meteoroidin rataelementit:
Perihelietäisyys: 0,955 AU
Eksentrisyys: 0,907
Inklinaatio: 31,1°
Nousevan solmun pituus: 133,2°
Perihelin argumentti: 151,4°
Keskianomalia: 0,6°
Epookki: 2022 AUG 05 21:57:58
orbit plot

Ei-interaktiivinen kuvaaja | Interaktiivinen kuvaaja

position vs time
speed and acceleration