🇳🇴 🇬🇧 🇩🇪 🇨🇿 🇫🇮

Meteor, poloha: Onsala 2022-08-08 23:59:48 UTC

Soubor KML  |  InteraktivnĂ­ mapa

Mapa zobrazuje dráhy meteoru. Světlejší čáry ukazují směry od pozorovacích stanic při objevení se meteoru a tmavší čáry, kde byl naposledy viděn. Modrá šipka značí viditelnou dráhu meteoru.

static map
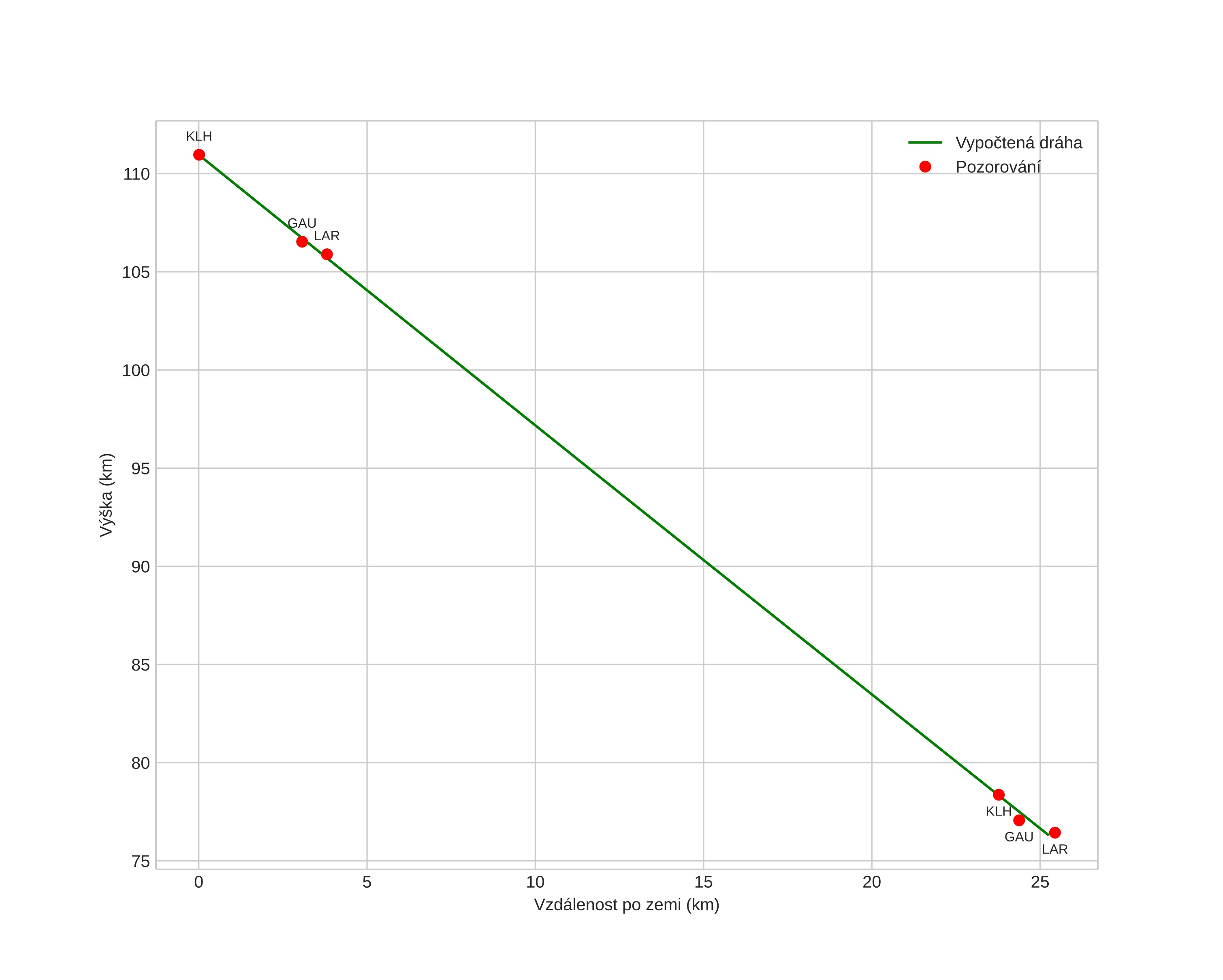
height profile
Atmosférická dráha meteoru:
Počáteční výška: 109,6 km
Konečná výška: 76,4 km
Počáteční poloha: 57,551N 12,372E
Konečná poloha: 57,447N 12,019E
Směr: 241,4°
Sklon: 54,0°
VstupnĂ­ rychlost: 62,3 km/s
Rektascenze radiantu: 02:33 (38,5°)
Deklinace radiantu: 56,3°
MeteorickĂ˝ roj: Perseidy
Elementy dráhy meteoroidu:
Vzdálenost v periheliu: 0,980 AU
Excentricita: 1,103
Sklon dráhy: 114,7°
Délka vzestupného uzlu: 136,1°
Argument perihelia: 159,4°
Střední anomálie: 0,5°
Epocha: 2022 AUG 08 23:59:48
orbit plot

NeinteraktivnĂ­ graf | InteraktivnĂ­ graf

position vs time
speed and acceleration