🇳🇴 🇬🇧 🇩🇪 🇨🇿 🇫🇮

Meteor Onsalan yllä 2022-08-08 23:59:48 UTC

KML-tiedosto  |  Interaktiivinen kartta

Kartta näyttää meteorin suuntahavainnot. Vaaleammat viivat näyttävät suunnat havaintoasemilta meteorin ilmestyessä, ja tummemmat viivat näyttävät, missä se viimeksi nähtiin. Sininen nuoli näyttää meteorin näkyvän lennon.

static map
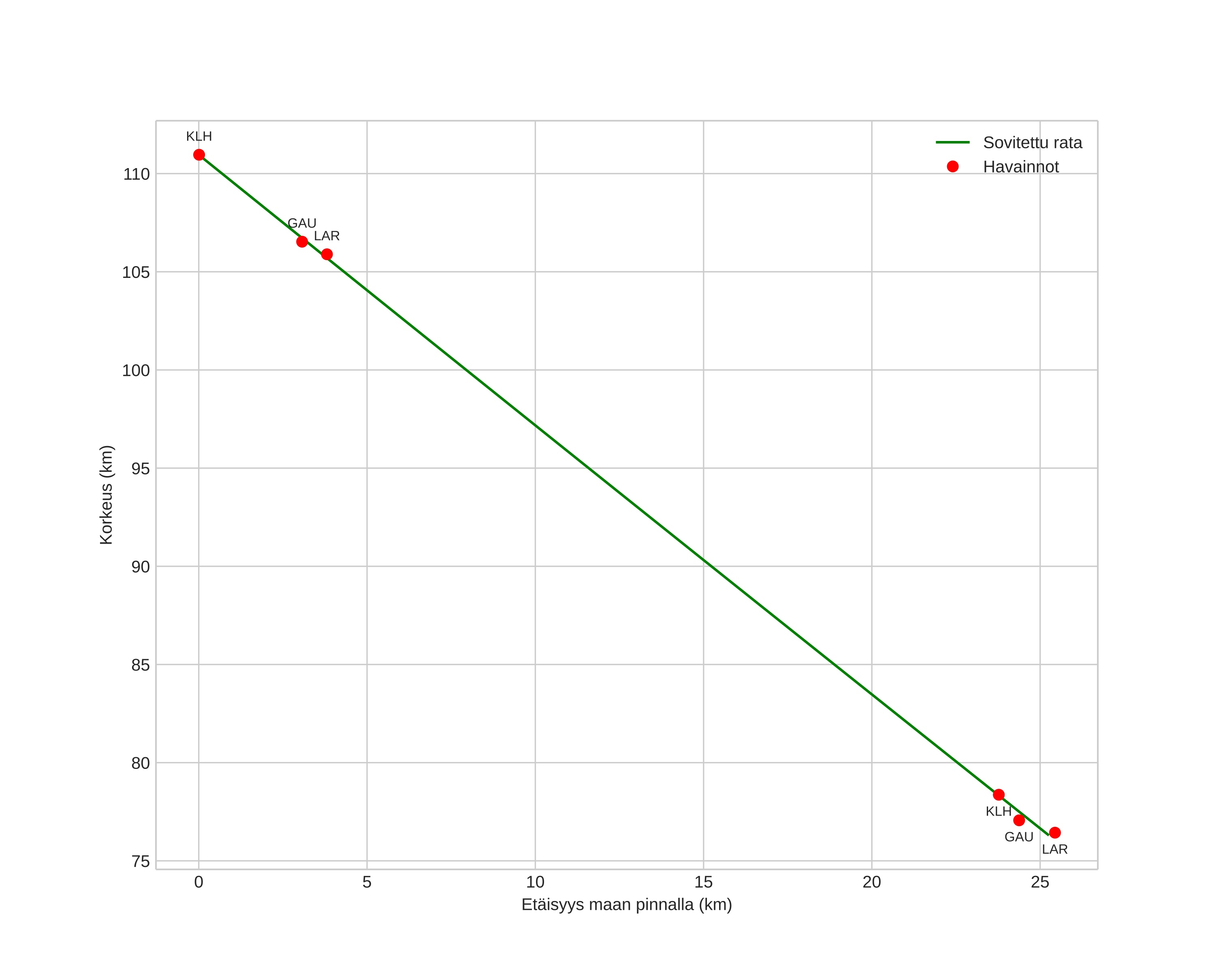
height profile
Meteorin ilmakehärata:
Alkukorkeus: 109,6 km
Loppukorkeus: 76,4 km
Alkupiste: 57,551N 12,372E
Loppupiste: 57,447N 12,019E
Suunta: 241,4°
Kallistuskulma: 54,0°
Tulonopeus: 62,3 km/s
Radiantin R,A,: 02:33 (38,5°)
Radiantin Dekl,: 56,3°
Meteoriparvi: Perseidit
Meteoroidin rataelementit:
Perihelietäisyys: 0,980 AU
Eksentrisyys: 1,103
Inklinaatio: 114,7°
Nousevan solmun pituus: 136,1°
Perihelin argumentti: 159,4°
Keskianomalia: 0,5°
Epookki: 2022 AUG 08 23:59:48
orbit plot

Ei-interaktiivinen kuvaaja | Interaktiivinen kuvaaja

position vs time
speed and acceleration