🇳🇴 🇬🇧 🇩🇪 🇨🇿 🇫🇮

Meteor, poloha: Hönö 2022-08-10 22:47:36 UTC

Soubor KML  |  InteraktivnĂ­ mapa

Mapa zobrazuje dráhy meteoru. Světlejší čáry ukazují směry od pozorovacích stanic při objevení se meteoru a tmavší čáry, kde byl naposledy viděn. Modrá šipka značí viditelnou dráhu meteoru.

static map
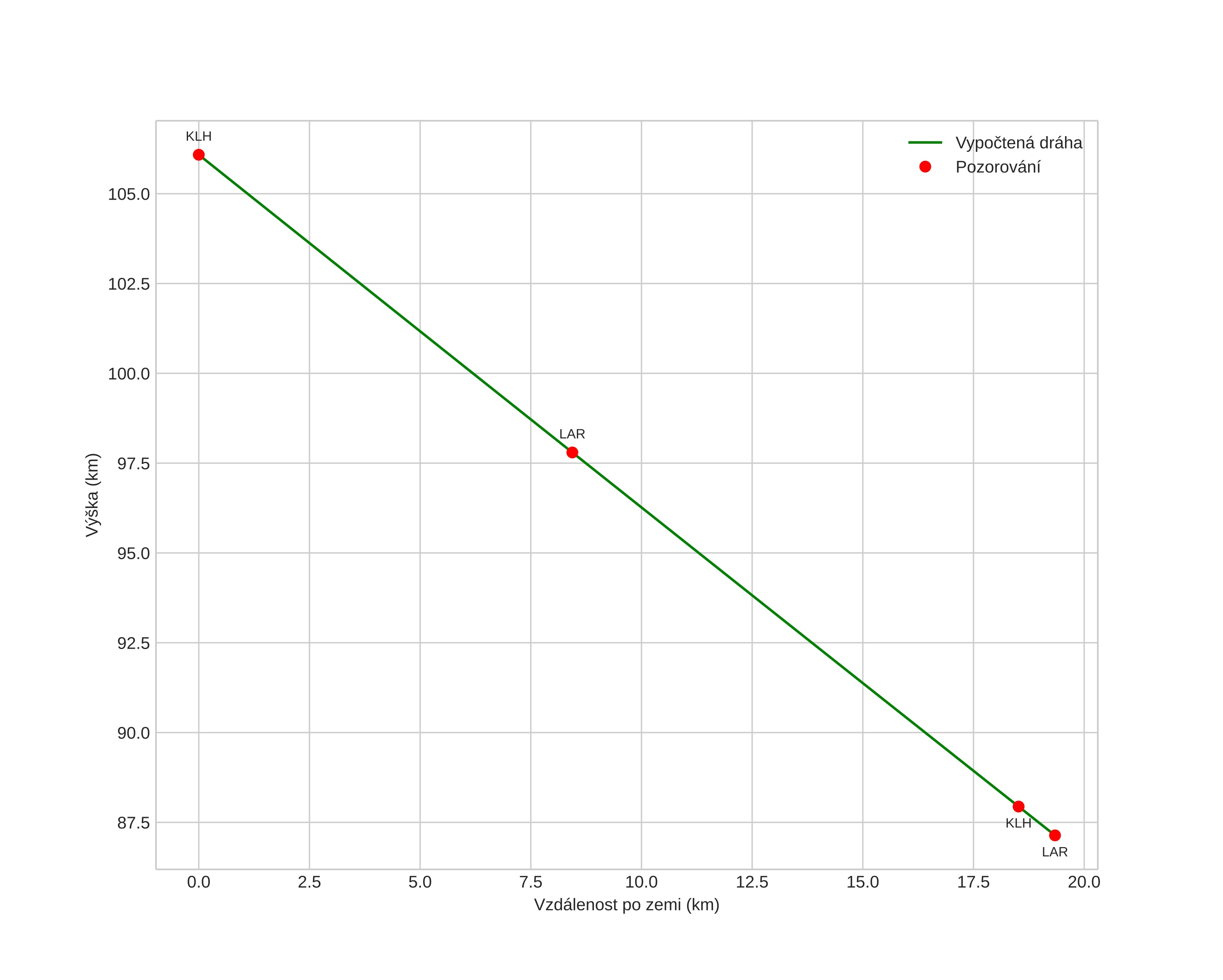
height profile
Atmosférická dráha meteoru:
Počáteční výška: 105,1 km
Konečná výška: 86,9 km
Počáteční poloha: 57,631N 11,805E
Konečná poloha: 57,509N 11,591E
Směr: 223,3°
Sklon: 44,4°
VstupnĂ­ rychlost: 70,0 km/s
Rektascenze radiantu: 03:21 (50,3°)
Deklinace radiantu: 60,2°
MeteorickĂ˝ roj: Perseidy
Elementy dráhy meteoroidu:
Vzdálenost v periheliu: 0,943 AU
Excentricita: 1,967
Sklon dráhy: 115,2°
Délka vzestupného uzlu: 138,0°
Argument perihelia: 153,5°
Střední anomálie: 15,3°
Epocha: 2022 AUG 10 22:47:36
orbit plot

NeinteraktivnĂ­ graf | InteraktivnĂ­ graf

position vs time
speed and acceleration