🇳🇴 🇬🇧 🇩🇪 🇨🇿 🇫🇮

Meteor Hönöin yllä 2022-08-10 22:47:36 UTC

KML-tiedosto  |  Interaktiivinen kartta

Kartta näyttää meteorin suuntahavainnot. Vaaleammat viivat näyttävät suunnat havaintoasemilta meteorin ilmestyessä, ja tummemmat viivat näyttävät, missä se viimeksi nähtiin. Sininen nuoli näyttää meteorin näkyvän lennon.

static map
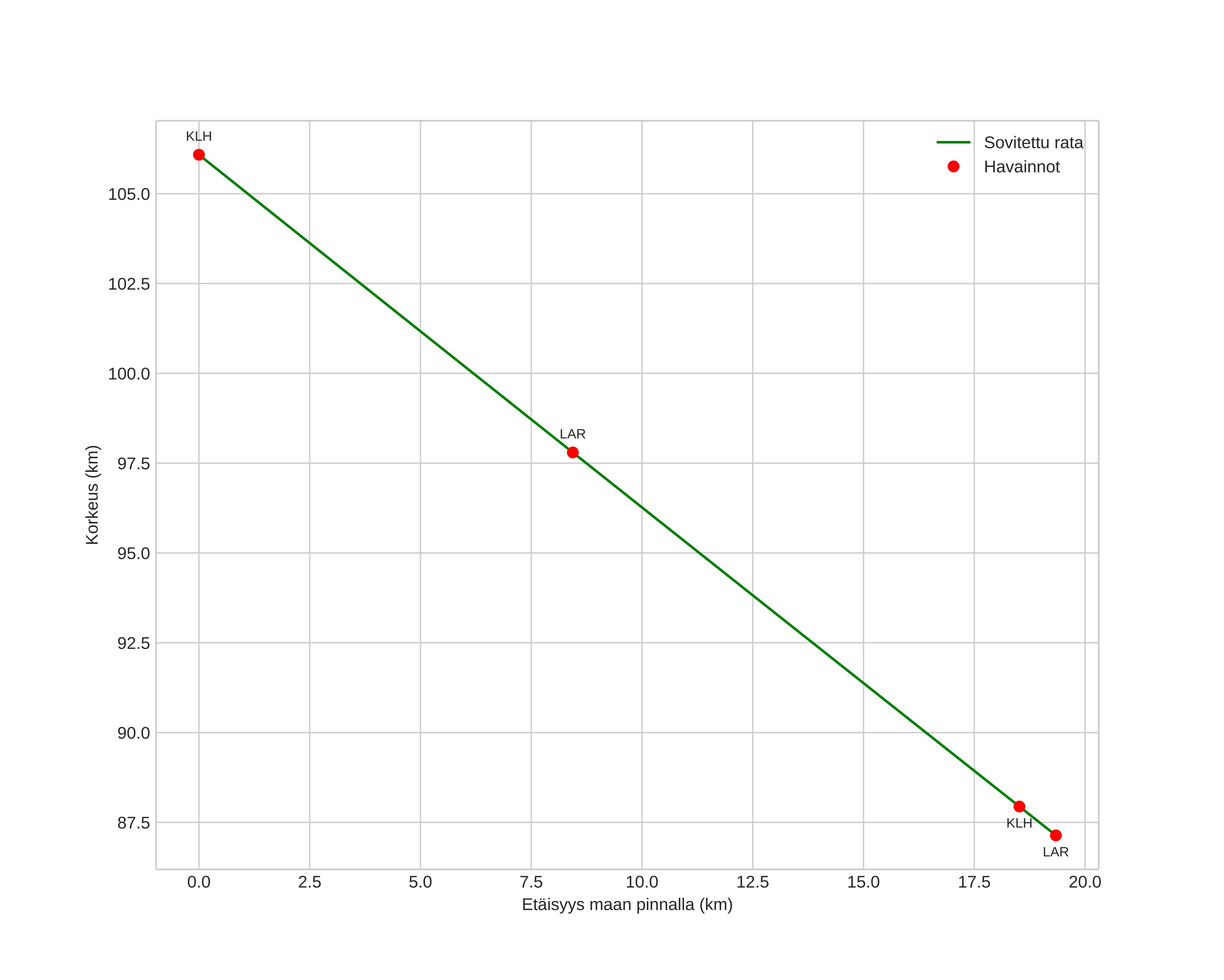
height profile
Meteorin ilmakehärata:
Alkukorkeus: 105,1 km
Loppukorkeus: 86,9 km
Alkupiste: 57,631N 11,805E
Loppupiste: 57,509N 11,591E
Suunta: 223,3°
Kallistuskulma: 44,4°
Tulonopeus: 70,0 km/s
Radiantin R,A,: 03:21 (50,3°)
Radiantin Dekl,: 60,2°
Meteoriparvi: Perseidit
Meteoroidin rataelementit:
Perihelietäisyys: 0,943 AU
Eksentrisyys: 1,967
Inklinaatio: 115,2°
Nousevan solmun pituus: 138,0°
Perihelin argumentti: 153,5°
Keskianomalia: 15,3°
Epookki: 2022 AUG 10 22:47:36
orbit plot

Ei-interaktiivinen kuvaaja | Interaktiivinen kuvaaja

position vs time
speed and acceleration