🇳🇴 🇬🇧 🇩🇪 🇨🇿 🇫🇮

Meteor, poloha: Skagen 2022-08-10 23:19:23 UTC

Soubor KML  |  InteraktivnĂ­ mapa

Mapa zobrazuje dráhy meteoru. Světlejší čáry ukazují směry od pozorovacích stanic při objevení se meteoru a tmavší čáry, kde byl naposledy viděn. Modrá šipka značí viditelnou dráhu meteoru.

static map
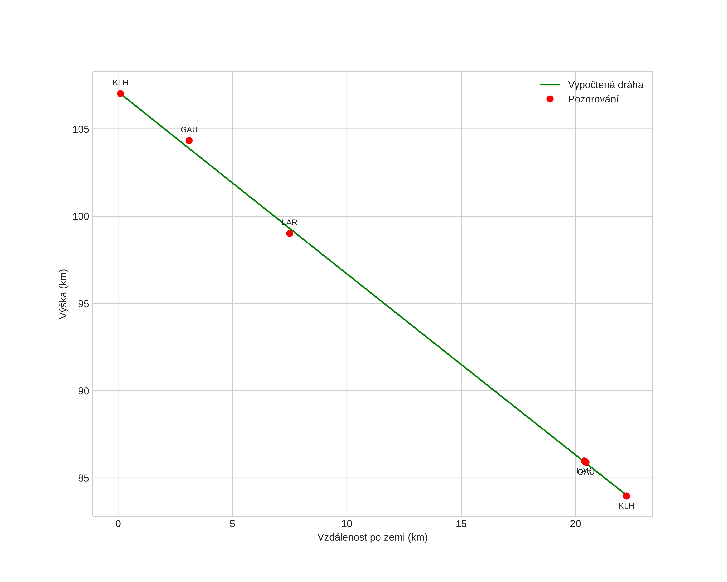
height profile
Atmosférická dráha meteoru:
Počáteční výška: 109,5 km
Konečná výška: 83,4 km
Počáteční poloha: 58,066N 11,197E
Konečná poloha: 57,903N 10,898E
Směr: 224,3°
Sklon: 45,9°
VstupnĂ­ rychlost: 62,4 km/s
Rektascenze radiantu: 03:41 (55,3°)
Deklinace radiantu: 60,6°
MeteorickĂ˝ roj: Perseidy
Elementy dráhy meteoroidu:
Vzdálenost v periheliu: 0,893 AU
Excentricita: 1,269
Sklon dráhy: 110,6°
Délka vzestupného uzlu: 138,0°
Argument perihelia: 141,9°
Střední anomálie: 3,9°
Epocha: 2022 AUG 10 23:19:23
orbit plot

NeinteraktivnĂ­ graf | InteraktivnĂ­ graf

position vs time
speed and acceleration