🇳🇴 🇬🇧 🇩🇪 🇨🇿 🇫🇮

Meteor Skagenin yllä 2022-08-10 23:19:23 UTC

KML-tiedosto  |  Interaktiivinen kartta

Kartta näyttää meteorin suuntahavainnot. Vaaleammat viivat näyttävät suunnat havaintoasemilta meteorin ilmestyessä, ja tummemmat viivat näyttävät, missä se viimeksi nähtiin. Sininen nuoli näyttää meteorin näkyvän lennon.

static map
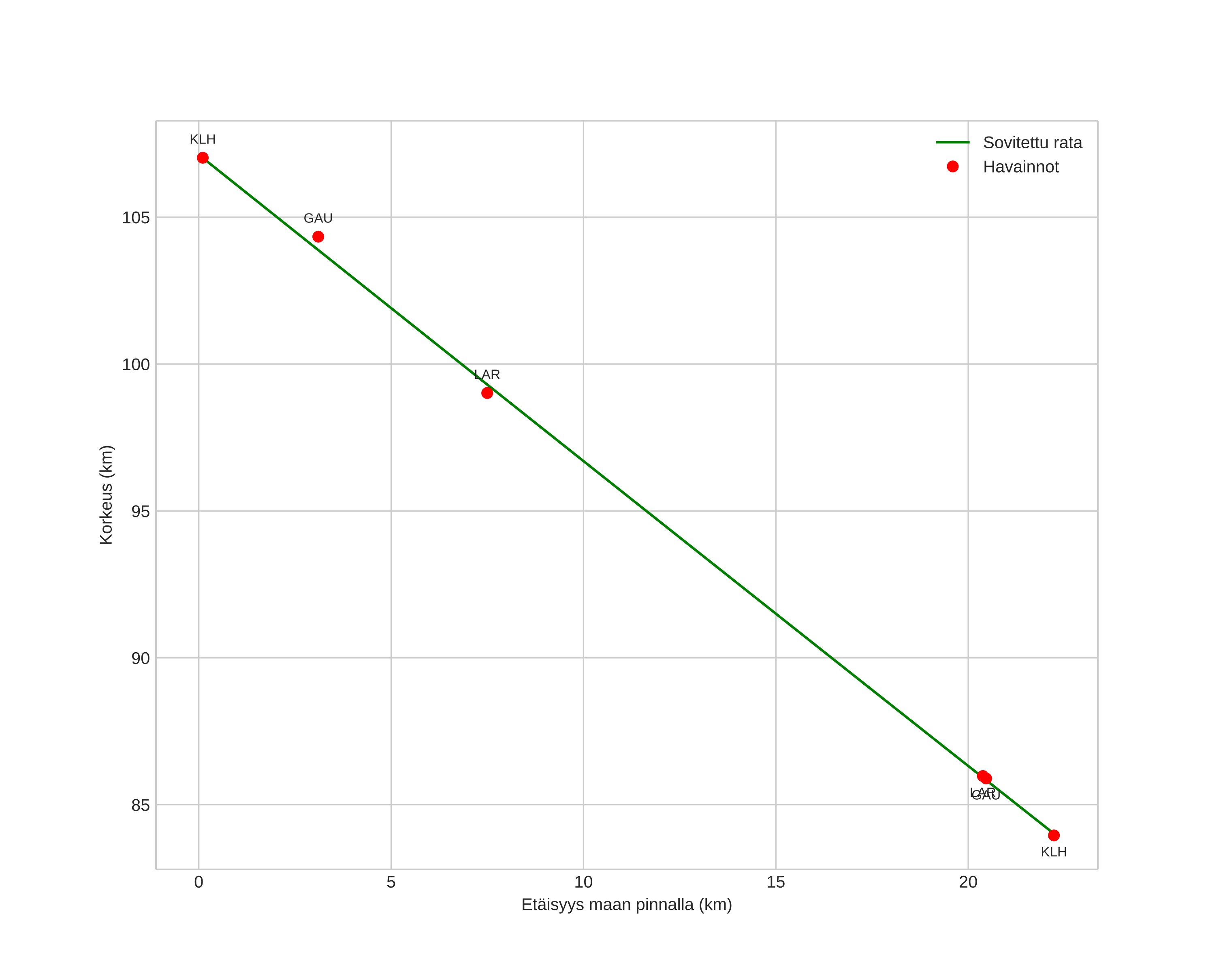
height profile
Meteorin ilmakehärata:
Alkukorkeus: 109,5 km
Loppukorkeus: 83,4 km
Alkupiste: 58,066N 11,197E
Loppupiste: 57,903N 10,898E
Suunta: 224,3°
Kallistuskulma: 45,9°
Tulonopeus: 62,4 km/s
Radiantin R,A,: 03:41 (55,3°)
Radiantin Dekl,: 60,6°
Meteoriparvi: Perseidit
Meteoroidin rataelementit:
Perihelietäisyys: 0,893 AU
Eksentrisyys: 1,269
Inklinaatio: 110,6°
Nousevan solmun pituus: 138,0°
Perihelin argumentti: 141,9°
Keskianomalia: 3,9°
Epookki: 2022 AUG 10 23:19:23
orbit plot

Ei-interaktiivinen kuvaaja | Interaktiivinen kuvaaja

position vs time
speed and acceleration