🇳🇴 🇬🇧 🇩🇪 🇨🇿 🇫🇮

Meteor, poloha: Skjærhalden 2022-08-10 23:36:32 UTC

Soubor KML  |  Interaktivní mapa

Mapa zobrazuje dráhy meteoru. Světlejší čáry ukazují směry od pozorovacích stanic při objevení se meteoru a tmavší čáry, kde byl naposledy viděn. Modrá šipka značí viditelnou dráhu meteoru.

static map
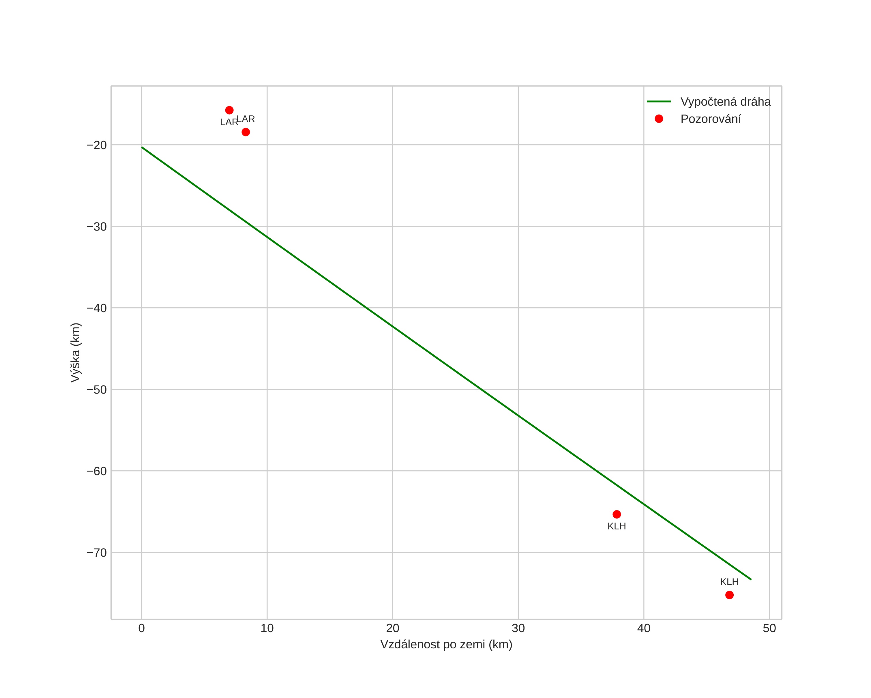
height profile
Atmosférická dráha meteoru:
Počáteční výška: -20,2 km
Konečná výška: -73,3 km
Počáteční poloha: 59,054N 11,499E
Konečná poloha: 58,746N 10,897E
Směr: 225,6°
Sklon: 47,5°
orbit plot
position vs time
speed and acceleration