🇳🇴 🇬🇧 🇩🇪 🇨🇿 🇫🇮

Meteor Skjærhaldenin yllä 2022-08-10 23:36:32 UTC

KML-tiedosto  |  Interaktiivinen kartta

Kartta näyttää meteorin suuntahavainnot. Vaaleammat viivat näyttävät suunnat havaintoasemilta meteorin ilmestyessä, ja tummemmat viivat näyttävät, missä se viimeksi nähtiin. Sininen nuoli näyttää meteorin näkyvän lennon.

static map
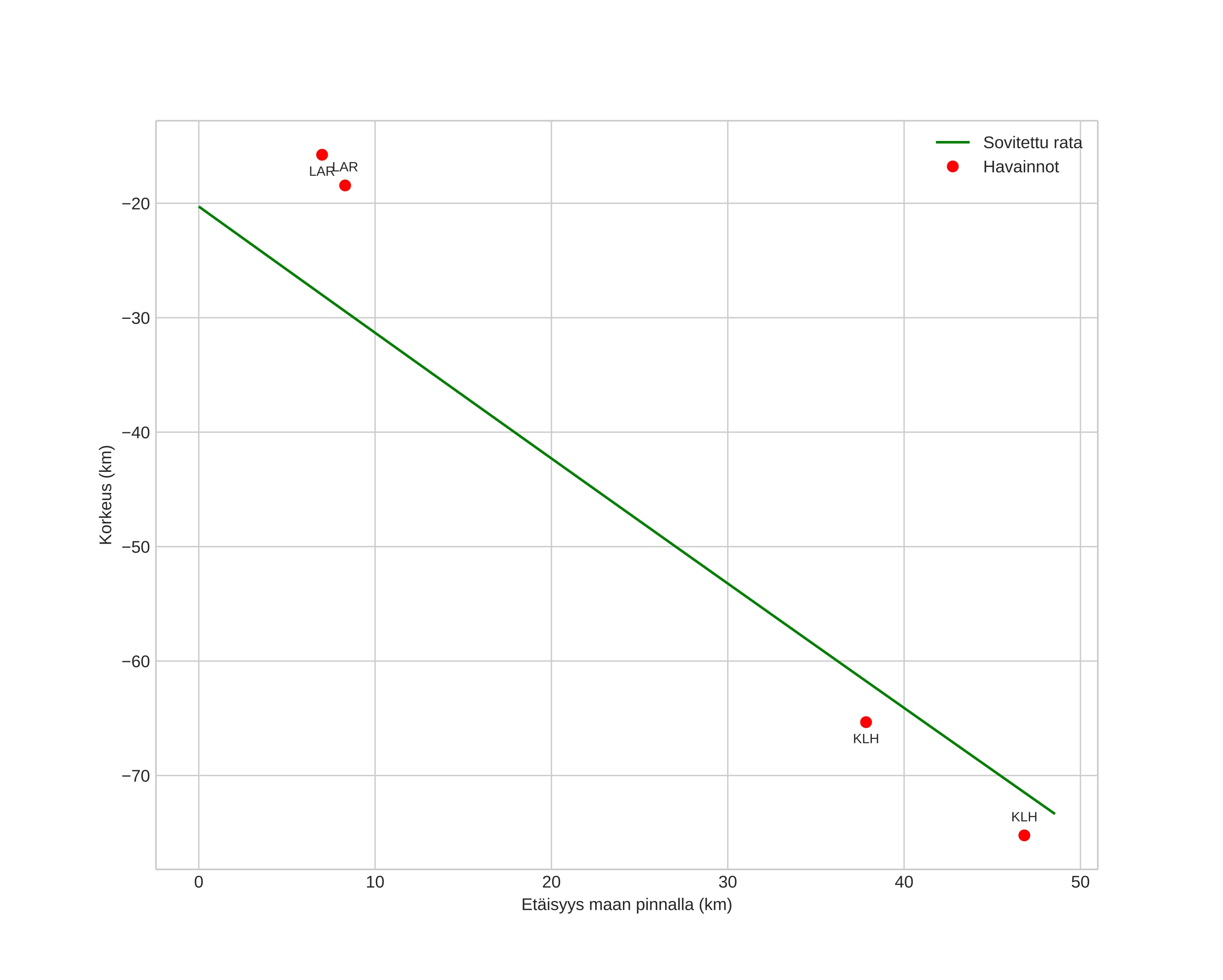
height profile
Meteorin ilmakehärata:
Alkukorkeus: -20,2 km
Loppukorkeus: -73,3 km
Alkupiste: 59,054N 11,499E
Loppupiste: 58,746N 10,897E
Suunta: 225,6°
Kallistuskulma: 47,5°
orbit plot
position vs time
speed and acceleration