🇳🇴 🇬🇧 🇩🇪 🇨🇿 🇫🇮

Meteor, poloha: Byrum 2022-08-10 23:38:58 UTC

Soubor KML  |  InteraktivnĂ­ mapa

Mapa zobrazuje dráhy meteoru. Světlejší čáry ukazují směry od pozorovacích stanic při objevení se meteoru a tmavší čáry, kde byl naposledy viděn. Modrá šipka značí viditelnou dráhu meteoru.

static map
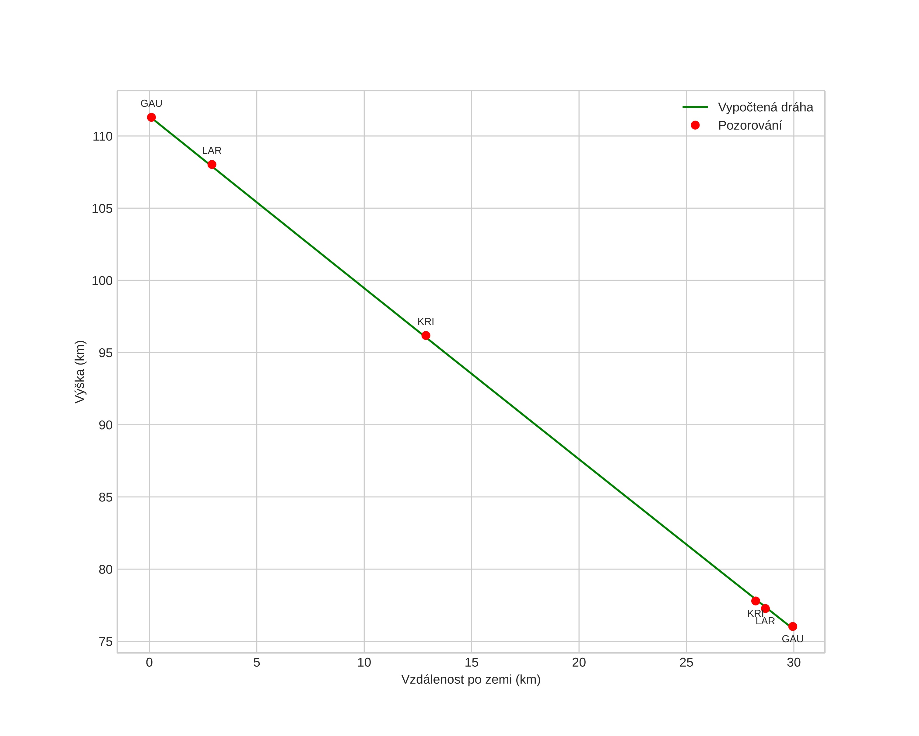
height profile
Atmosférická dráha meteoru:
Počáteční výška: 111,2 km
Konečná výška: 77,0 km
Počáteční poloha: 57,177N 11,502E
Konečná poloha: 57,018N 11,121E
Směr: 232,5°
Sklon: 49,7°
VstupnĂ­ rychlost: 64,0 km/s
Rektascenze radiantu: 03:05 (46,3°)
Deklinace radiantu: 58,5°
MeteorickĂ˝ roj: Perseidy
Elementy dráhy meteoroidu:
Vzdálenost v periheliu: 0,954 AU
Excentricita: 1,310
Sklon dráhy: 114,2°
Délka vzestupného uzlu: 138,0°
Argument perihelia: 153,6°
Střední anomálie: 3,1°
Epocha: 2022 AUG 10 23:38:58
orbit plot

NeinteraktivnĂ­ graf | InteraktivnĂ­ graf

position vs time
speed and acceleration