🇳🇴 🇬🇧 🇩🇪 🇨🇿 🇫🇮

Meteor Byrumin yllä 2022-08-10 23:38:58 UTC

KML-tiedosto  |  Interaktiivinen kartta

Kartta näyttää meteorin suuntahavainnot. Vaaleammat viivat näyttävät suunnat havaintoasemilta meteorin ilmestyessä, ja tummemmat viivat näyttävät, missä se viimeksi nähtiin. Sininen nuoli näyttää meteorin näkyvän lennon.

static map
height profile
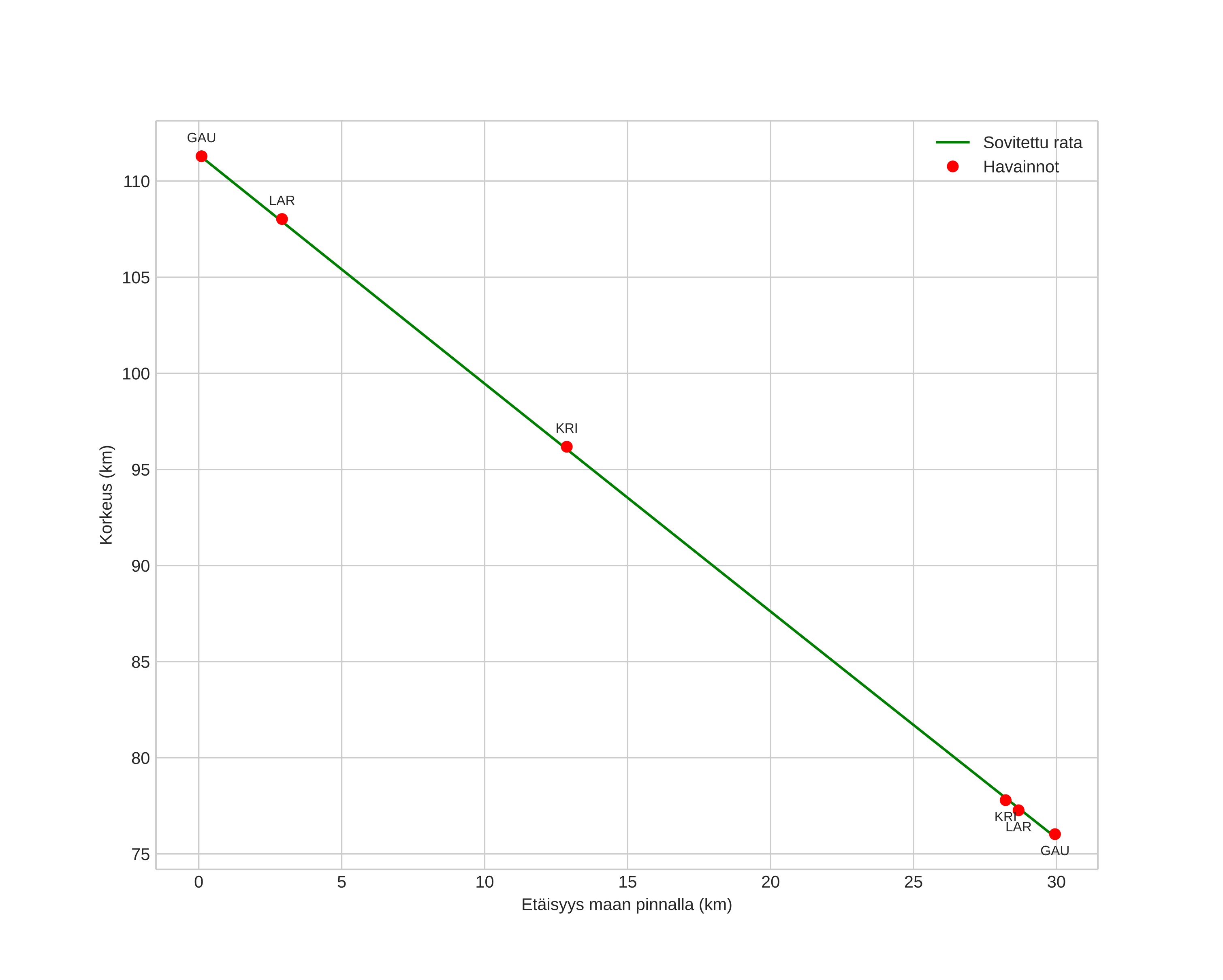
Meteorin ilmakehärata:
Alkukorkeus: 111,2 km
Loppukorkeus: 77,0 km
Alkupiste: 57,177N 11,502E
Loppupiste: 57,018N 11,121E
Suunta: 232,5°
Kallistuskulma: 49,7°
Tulonopeus: 64,0 km/s
Radiantin R,A,: 03:05 (46,3°)
Radiantin Dekl,: 58,5°
Meteoriparvi: Perseidit
Meteoroidin rataelementit:
Perihelietäisyys: 0,954 AU
Eksentrisyys: 1,310
Inklinaatio: 114,2°
Nousevan solmun pituus: 138,0°
Perihelin argumentti: 153,6°
Keskianomalia: 3,1°
Epookki: 2022 AUG 10 23:38:58
orbit plot

Ei-interaktiivinen kuvaaja | Interaktiivinen kuvaaja

position vs time
speed and acceleration