🇳🇴 🇬🇧 🇩🇪 🇨🇿 🇫🇮

Meteor, poloha: Mandal 2022-08-10 23:40:45 UTC

Soubor KML  |  InteraktivnĂ­ mapa

Mapa zobrazuje dráhy meteoru. Světlejší čáry ukazují směry od pozorovacích stanic při objevení se meteoru a tmavší čáry, kde byl naposledy viděn. Modrá šipka značí viditelnou dráhu meteoru.

static map
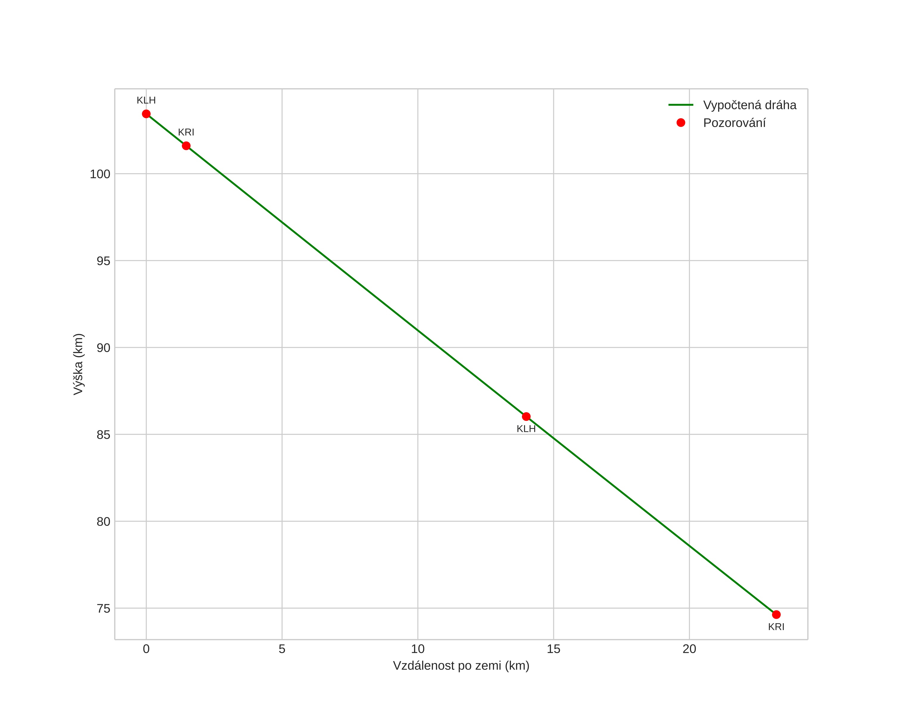
height profile
Atmosférická dráha meteoru:
Počáteční výška: 103,4 km
Konečná výška: 74,7 km
Počáteční poloha: 58,102N 7,770E
Konečná poloha: 57,980N 7,450E
Směr: 234,6°
Sklon: 51,1°
VstupnĂ­ rychlost: 68,0 km/s
Rektascenze radiantu: 02:43 (40,8°)
Deklinace radiantu: 58,4°
MeteorickĂ˝ roj: Perseidy
Elementy dráhy meteoroidu:
Vzdálenost v periheliu: 0,985 AU
Excentricita: 1,704
Sklon dráhy: 115,8°
Délka vzestupného uzlu: 138,0°
Argument perihelia: 162,8°
Střední anomálie: 6,3°
Epocha: 2022 AUG 10 23:40:45
orbit plot

NeinteraktivnĂ­ graf | InteraktivnĂ­ graf

position vs time
speed and acceleration