🇳🇴 🇬🇧 🇩🇪 🇨🇿 🇫🇮

Meteor Mandalin yllä 2022-08-10 23:40:45 UTC

KML-tiedosto  |  Interaktiivinen kartta

Kartta näyttää meteorin suuntahavainnot. Vaaleammat viivat näyttävät suunnat havaintoasemilta meteorin ilmestyessä, ja tummemmat viivat näyttävät, missä se viimeksi nähtiin. Sininen nuoli näyttää meteorin näkyvän lennon.

static map
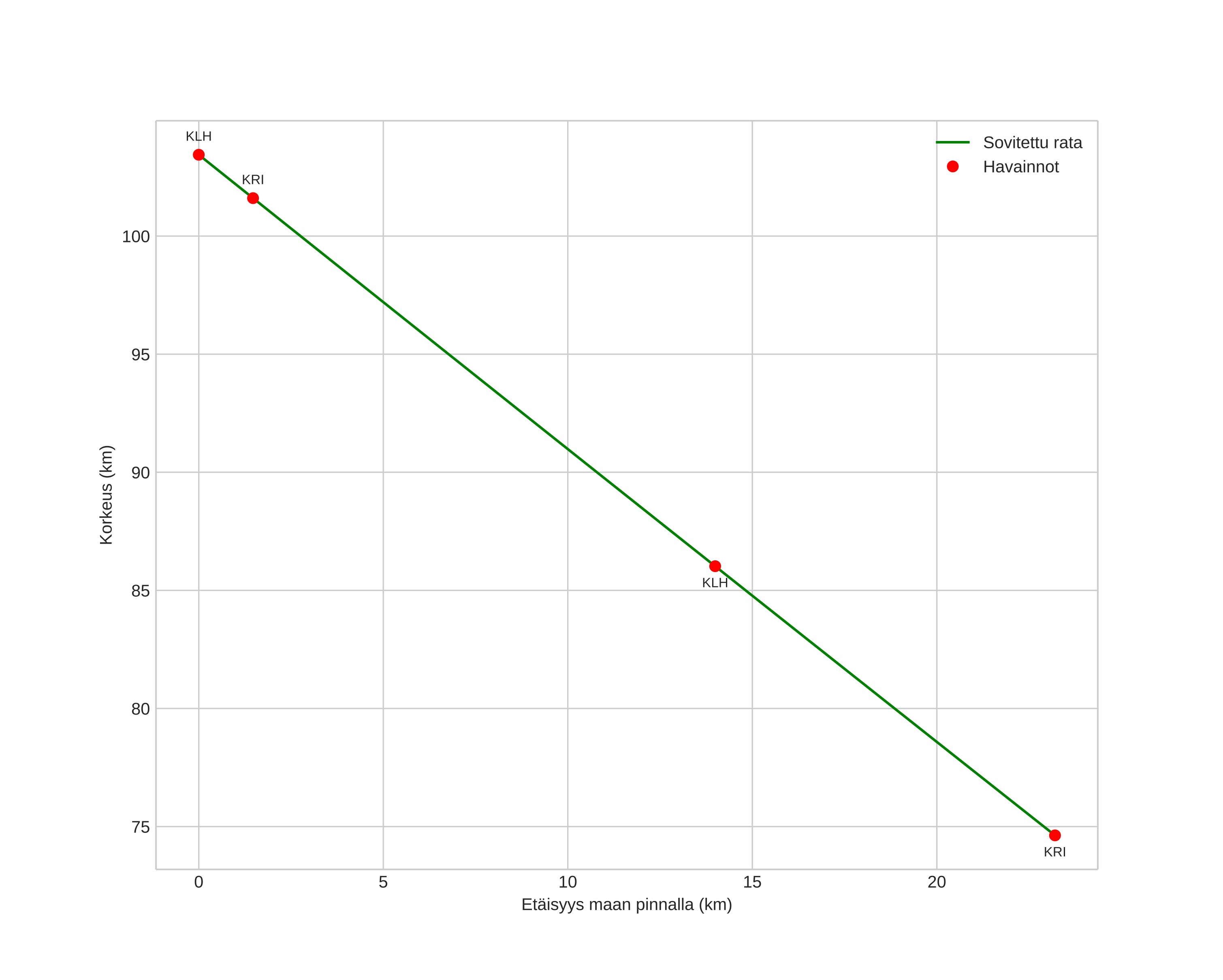
height profile
Meteorin ilmakehärata:
Alkukorkeus: 103,4 km
Loppukorkeus: 74,7 km
Alkupiste: 58,102N 7,770E
Loppupiste: 57,980N 7,450E
Suunta: 234,6°
Kallistuskulma: 51,1°
Tulonopeus: 68,0 km/s
Radiantin R,A,: 02:43 (40,8°)
Radiantin Dekl,: 58,4°
Meteoriparvi: Perseidit
Meteoroidin rataelementit:
Perihelietäisyys: 0,985 AU
Eksentrisyys: 1,704
Inklinaatio: 115,8°
Nousevan solmun pituus: 138,0°
Perihelin argumentti: 162,8°
Keskianomalia: 6,3°
Epookki: 2022 AUG 10 23:40:45
orbit plot

Ei-interaktiivinen kuvaaja | Interaktiivinen kuvaaja

position vs time
speed and acceleration