🇳🇴 🇬🇧 🇩🇪 🇨🇿 🇫🇮

Meteor, poloha: Sæby 2022-08-11 00:25:03 UTC

Soubor KML  |  InteraktivnĂ­ mapa

Mapa zobrazuje dráhy meteoru. Světlejší čáry ukazují směry od pozorovacích stanic při objevení se meteoru a tmavší čáry, kde byl naposledy viděn. Modrá šipka značí viditelnou dráhu meteoru.

static map
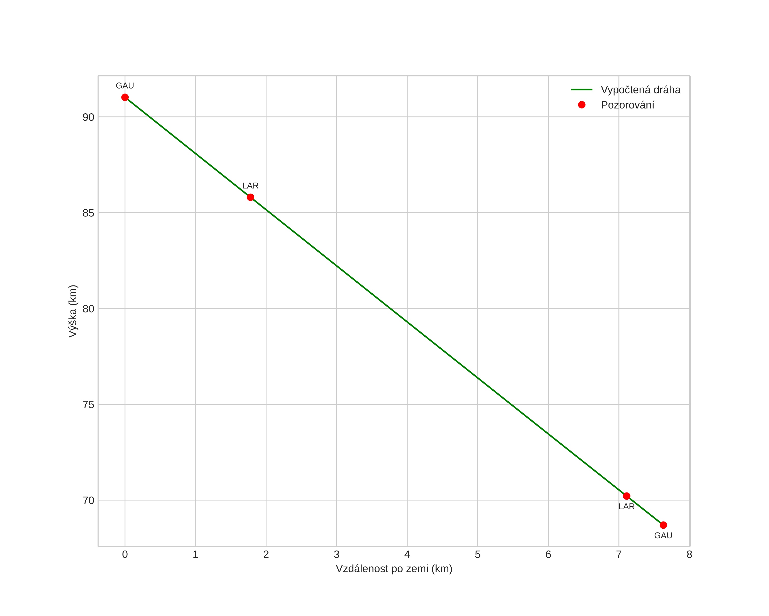
height profile
Atmosférická dráha meteoru:
Počáteční výška: 91,0 km
Konečná výška: 68,7 km
Počáteční poloha: 57,149N 10,376E
Konečná poloha: 57,134N 10,502E
Směr: 101,7°
Sklon: 70,7°
VstupnĂ­ rychlost: 30,9 km/s
Rektascenze radiantu: 19:55 (298,8°)
Deklinace radiantu: 55,3°
MeteorickĂ˝ roj: sporadickĂ˝
Elementy dráhy meteoroidu:
Vzdálenost v periheliu: 0,958 AU
Excentricita: 0,788
Sklon dráhy: 45,7°
Délka vzestupného uzlu: 138,0°
Argument perihelia: 208,9°
Střední anomálie: 357,8°
Epocha: 2022 AUG 11 00:25:03
orbit plot

NeinteraktivnĂ­ graf | InteraktivnĂ­ graf

position vs time
speed and acceleration