🇳🇴 🇬🇧 🇩🇪 🇨🇿 🇫🇮

Meteor Sæbyn yllä 2022-08-11 00:25:03 UTC

KML-tiedosto  |  Interaktiivinen kartta

Kartta näyttää meteorin suuntahavainnot. Vaaleammat viivat näyttävät suunnat havaintoasemilta meteorin ilmestyessä, ja tummemmat viivat näyttävät, missä se viimeksi nähtiin. Sininen nuoli näyttää meteorin näkyvän lennon.

static map
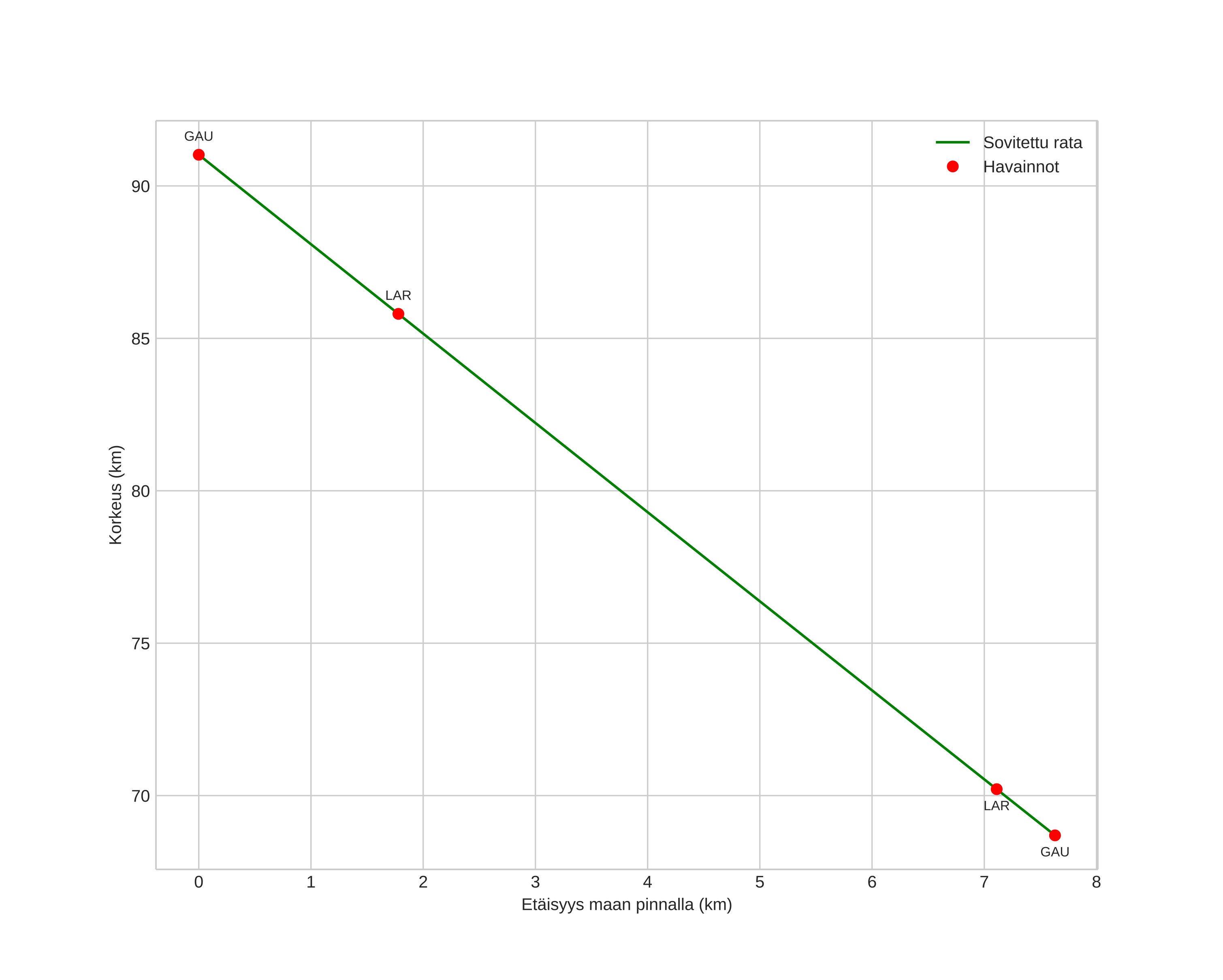
height profile
Meteorin ilmakehärata:
Alkukorkeus: 91,0 km
Loppukorkeus: 68,7 km
Alkupiste: 57,149N 10,376E
Loppupiste: 57,134N 10,502E
Suunta: 101,7°
Kallistuskulma: 70,7°
Tulonopeus: 30,9 km/s
Radiantin R,A,: 19:55 (298,8°)
Radiantin Dekl,: 55,3°
Meteoriparvi: Sporadinen
Meteoroidin rataelementit:
Perihelietäisyys: 0,958 AU
Eksentrisyys: 0,788
Inklinaatio: 45,7°
Nousevan solmun pituus: 138,0°
Perihelin argumentti: 208,9°
Keskianomalia: 357,8°
Epookki: 2022 AUG 11 00:25:03
orbit plot

Ei-interaktiivinen kuvaaja | Interaktiivinen kuvaaja

position vs time
speed and acceleration