🇳🇴 🇬🇧 🇩🇪 🇨🇿 🇫🇮

Meteor, poloha: SkĂĄlevik 2022-08-11 01:07:11 UTC

Soubor KML  |  InteraktivnĂ­ mapa

Mapa zobrazuje dráhy meteoru. Světlejší čáry ukazují směry od pozorovacích stanic při objevení se meteoru a tmavší čáry, kde byl naposledy viděn. Modrá šipka značí viditelnou dráhu meteoru.

static map
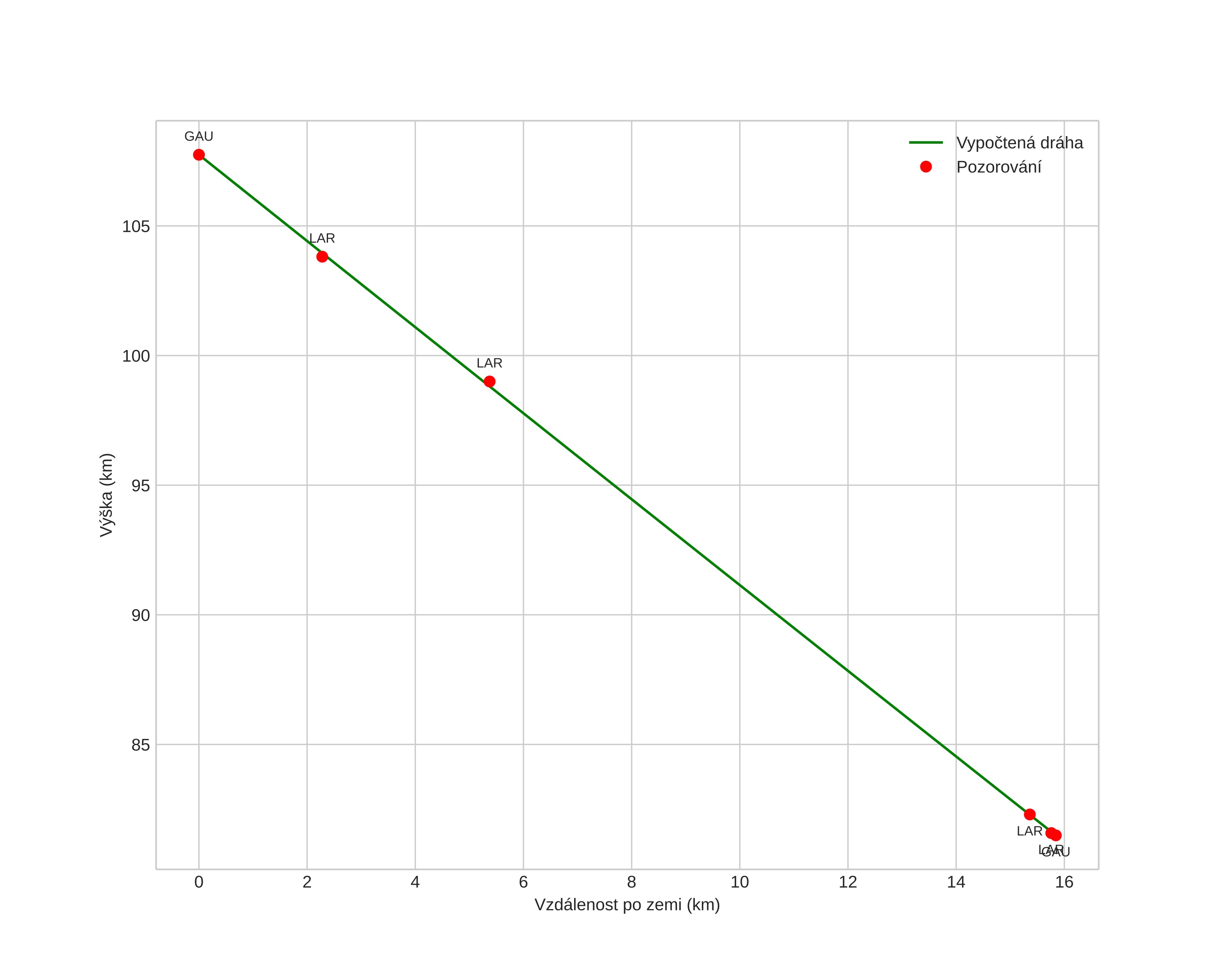
height profile
Atmosférická dráha meteoru:
Počáteční výška: 110,6 km
Konečná výška: 82,2 km
Počáteční poloha: 57,782N 8,611E
Konečná poloha: 57,712N 8,344E
Směr: 244,0°
Sklon: 58,1°
VstupnĂ­ rychlost: 66,1 km/s
Rektascenze radiantu: 03:04 (46,0°)
Deklinace radiantu: 57,2°
MeteorickĂ˝ roj: Perseidy
Elementy dráhy meteoroidu:
Vzdálenost v periheliu: 0,960 AU
Excentricita: 1,442
Sklon dráhy: 117,0°
Délka vzestupného uzlu: 138,1°
Argument perihelia: 155,6°
Střední anomálie: 4,8°
Epocha: 2022 AUG 11 01:07:11
orbit plot

NeinteraktivnĂ­ graf | InteraktivnĂ­ graf

position vs time
speed and acceleration