🇳🇴 🇬🇧 🇩🇪 🇨🇿 🇫🇮

Meteor Skålevikin yllä 2022-08-11 01:07:11 UTC

KML-tiedosto  |  Interaktiivinen kartta

Kartta näyttää meteorin suuntahavainnot. Vaaleammat viivat näyttävät suunnat havaintoasemilta meteorin ilmestyessä, ja tummemmat viivat näyttävät, missä se viimeksi nähtiin. Sininen nuoli näyttää meteorin näkyvän lennon.

static map
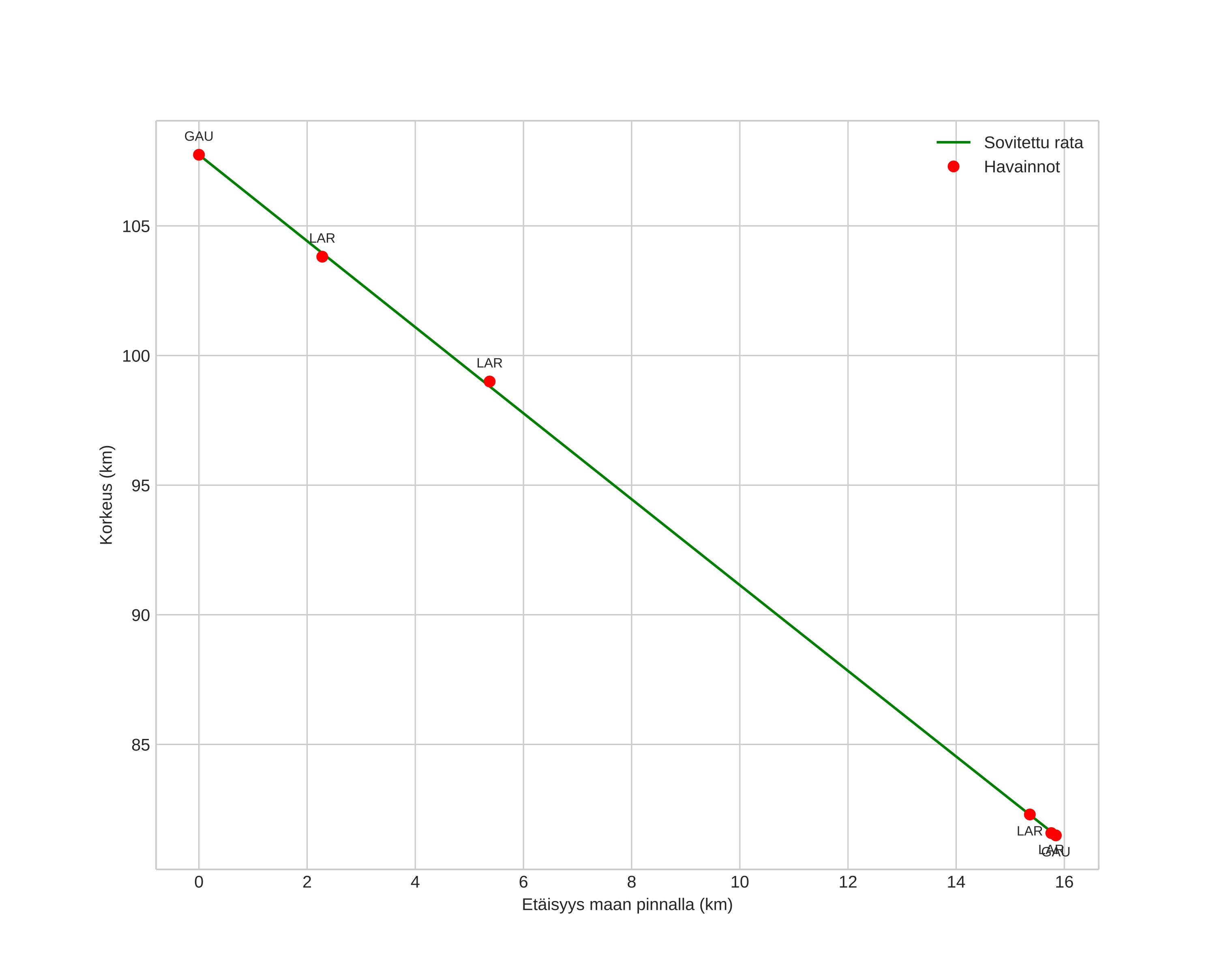
height profile
Meteorin ilmakehärata:
Alkukorkeus: 110,6 km
Loppukorkeus: 82,2 km
Alkupiste: 57,782N 8,611E
Loppupiste: 57,712N 8,344E
Suunta: 244,0°
Kallistuskulma: 58,1°
Tulonopeus: 66,1 km/s
Radiantin R,A,: 03:04 (46,0°)
Radiantin Dekl,: 57,2°
Meteoriparvi: Perseidit
Meteoroidin rataelementit:
Perihelietäisyys: 0,960 AU
Eksentrisyys: 1,442
Inklinaatio: 117,0°
Nousevan solmun pituus: 138,1°
Perihelin argumentti: 155,6°
Keskianomalia: 4,8°
Epookki: 2022 AUG 11 01:07:11
orbit plot

Ei-interaktiivinen kuvaaja | Interaktiivinen kuvaaja

position vs time
speed and acceleration