🇳🇴 🇬🇧 🇩🇪 🇨🇿 🇫🇮

Meteor, poloha: Løkken 2022-08-11 21:56:02 UTC

Soubor KML  |  InteraktivnĂ­ mapa

Mapa zobrazuje dráhy meteoru. Světlejší čáry ukazují směry od pozorovacích stanic při objevení se meteoru a tmavší čáry, kde byl naposledy viděn. Modrá šipka značí viditelnou dráhu meteoru.

static map
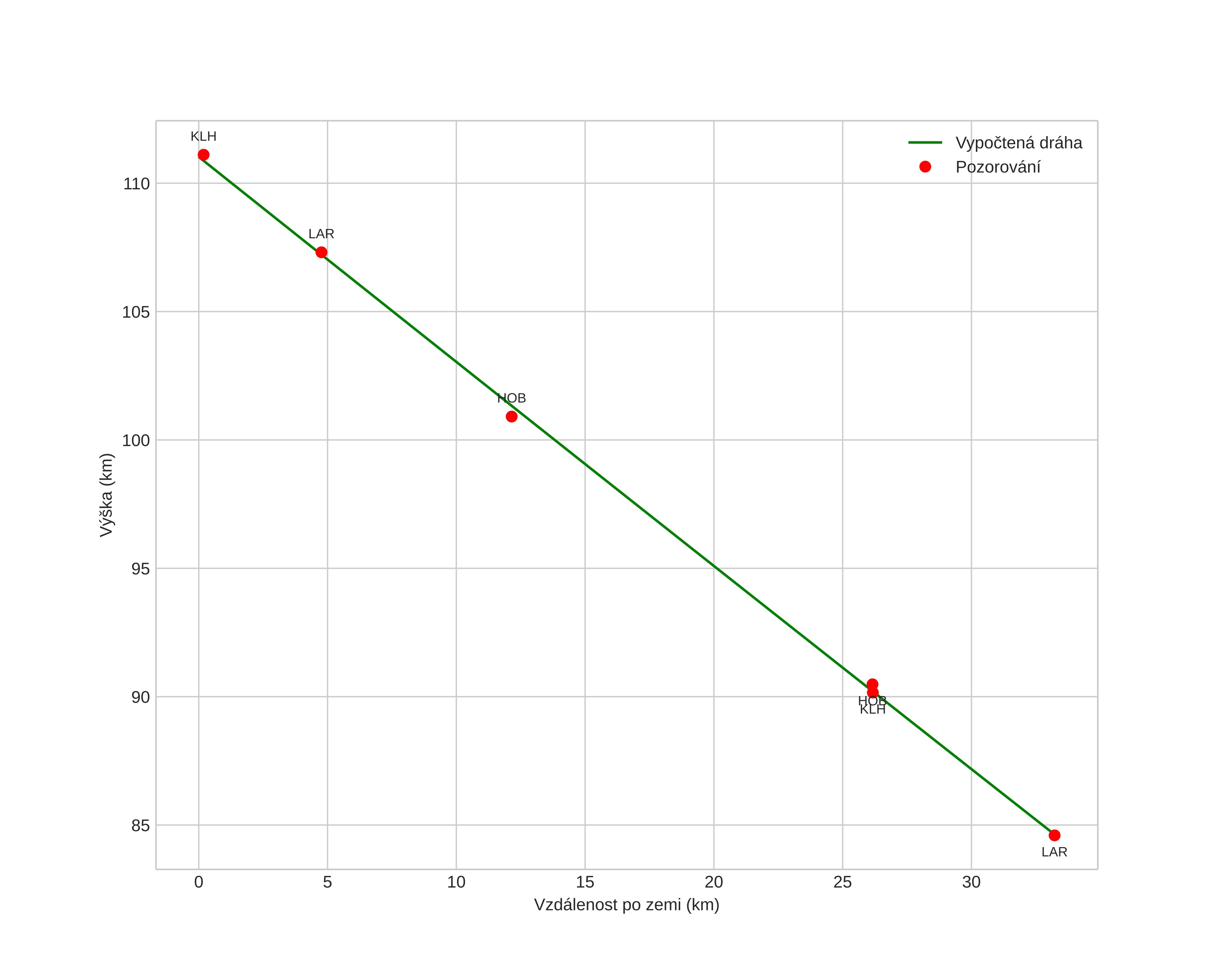
height profile
Atmosférická dráha meteoru:
Počáteční výška: 111,4 km
Konečná výška: 84,6 km
Počáteční poloha: 57,716N 10,152E
Konečná poloha: 57,485N 9,796E
Směr: 219,8°
Sklon: 38,8°
VstupnĂ­ rychlost: 66,4 km/s
Rektascenze radiantu: 03:13 (48,4°)
Deklinace radiantu: 58,0°
MeteorickĂ˝ roj: Perseidy
Elementy dráhy meteoroidu:
Vzdálenost v periheliu: 0,954 AU
Excentricita: 1,494
Sklon dráhy: 116,6°
Délka vzestupného uzlu: 138,9°
Argument perihelia: 154,4°
Střední anomálie: 5,9°
Epocha: 2022 AUG 11 21:56:02
orbit plot

NeinteraktivnĂ­ graf | InteraktivnĂ­ graf

position vs time
speed and acceleration