🇳🇴 🇬🇧 🇩🇪 🇨🇿 🇫🇮

Meteor Løkkenin yllä 2022-08-11 21:56:02 UTC

KML-tiedosto  |  Interaktiivinen kartta

Kartta näyttää meteorin suuntahavainnot. Vaaleammat viivat näyttävät suunnat havaintoasemilta meteorin ilmestyessä, ja tummemmat viivat näyttävät, missä se viimeksi nähtiin. Sininen nuoli näyttää meteorin näkyvän lennon.

static map
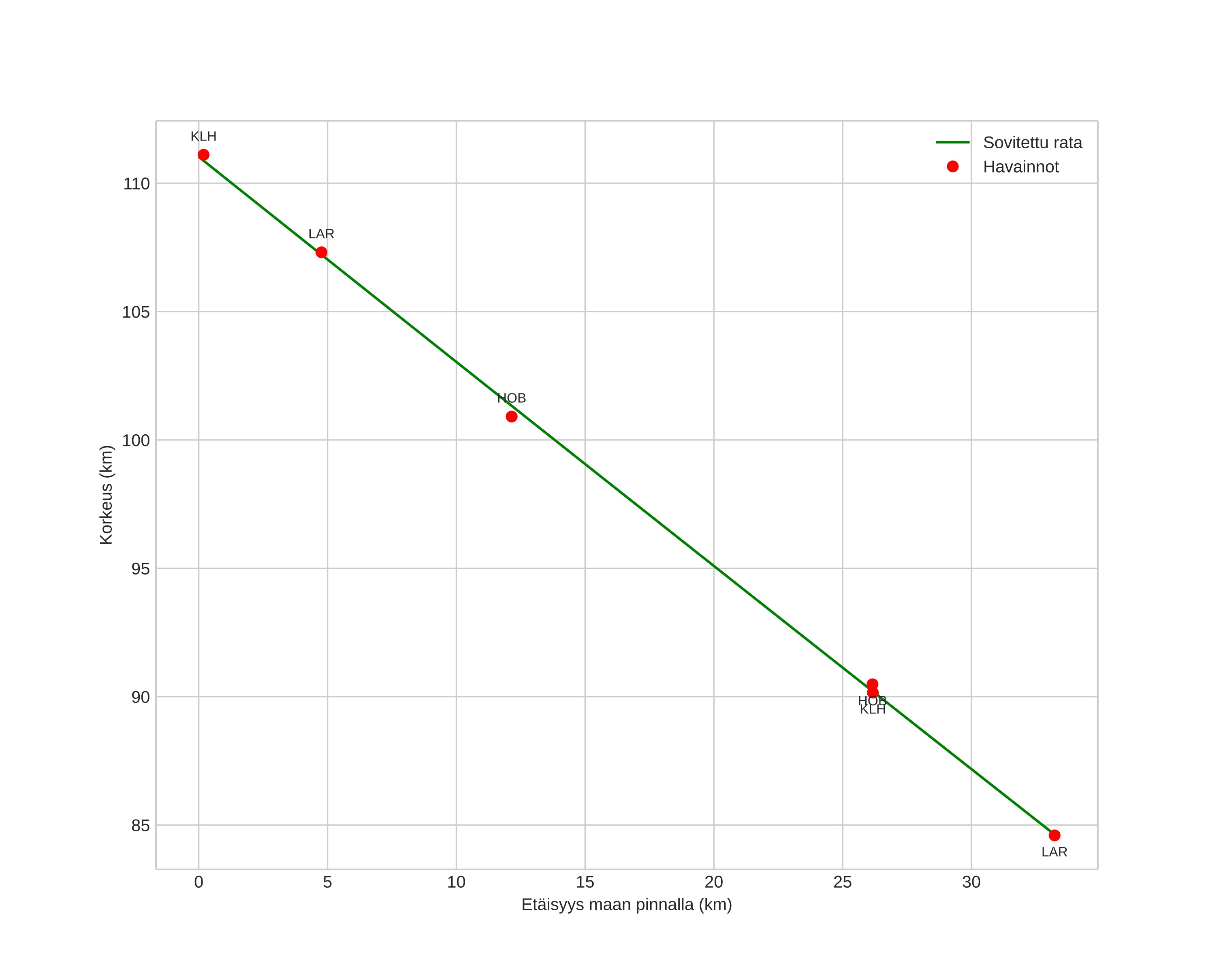
height profile
Meteorin ilmakehärata:
Alkukorkeus: 111,4 km
Loppukorkeus: 84,6 km
Alkupiste: 57,716N 10,152E
Loppupiste: 57,485N 9,796E
Suunta: 219,8°
Kallistuskulma: 38,8°
Tulonopeus: 66,4 km/s
Radiantin R,A,: 03:13 (48,4°)
Radiantin Dekl,: 58,0°
Meteoriparvi: Perseidit
Meteoroidin rataelementit:
Perihelietäisyys: 0,954 AU
Eksentrisyys: 1,494
Inklinaatio: 116,6°
Nousevan solmun pituus: 138,9°
Perihelin argumentti: 154,4°
Keskianomalia: 5,9°
Epookki: 2022 AUG 11 21:56:02
orbit plot

Ei-interaktiivinen kuvaaja | Interaktiivinen kuvaaja

position vs time
speed and acceleration