🇳🇴 🇬🇧 🇩🇪 🇨🇿 🇫🇮

Meteor, poloha: Tofte 2022-08-12 00:24:47 UTC

Soubor KML  |  InteraktivnĂ­ mapa

Mapa zobrazuje dráhy meteoru. Světlejší čáry ukazují směry od pozorovacích stanic při objevení se meteoru a tmavší čáry, kde byl naposledy viděn. Modrá šipka značí viditelnou dráhu meteoru.

static map
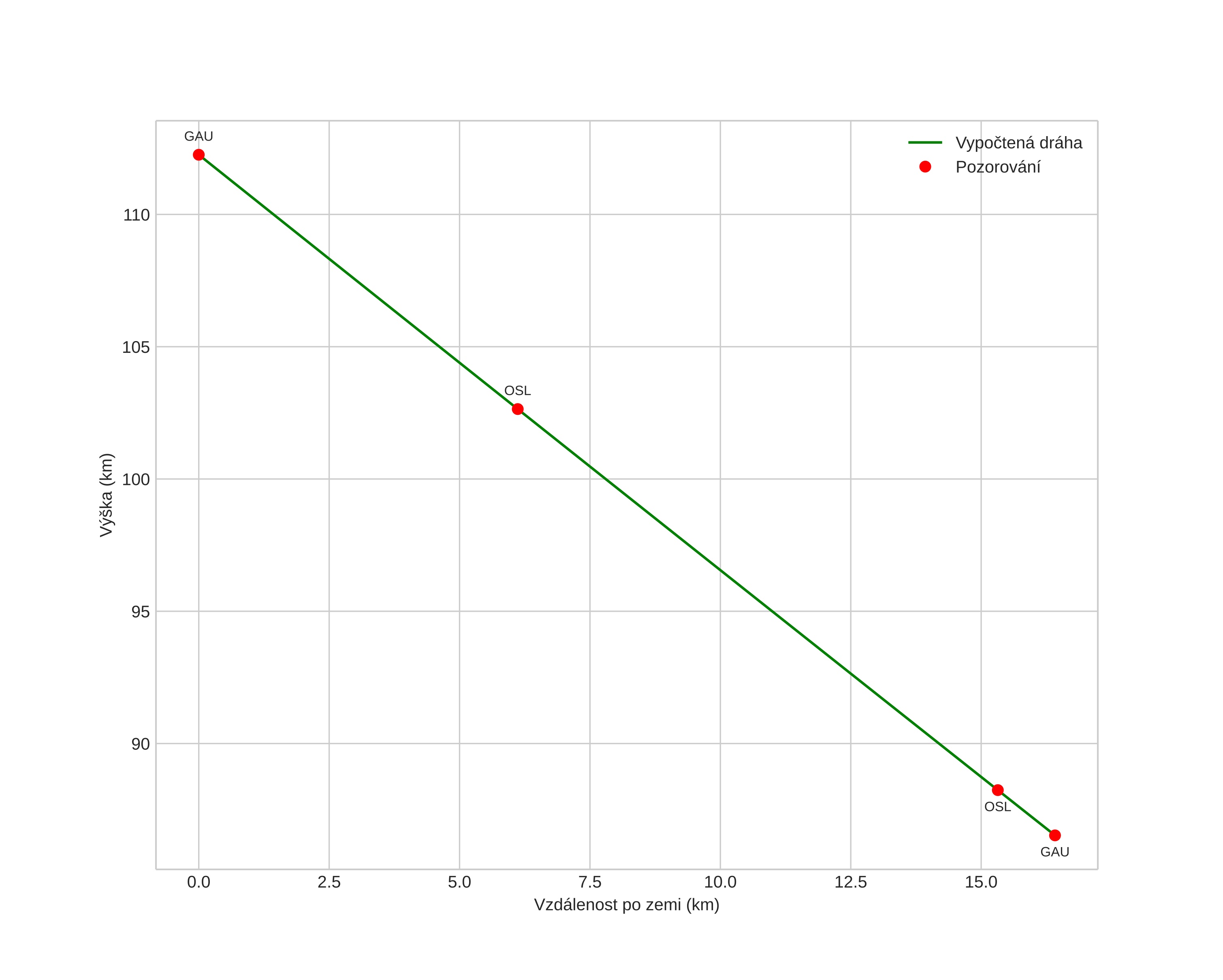
height profile
Atmosférická dráha meteoru:
Počáteční výška: 112,0 km
Konečná výška: 86,8 km
Počáteční poloha: 59,667N 10,822E
Konečná poloha: 59,596N 10,567E
Směr: 241,5°
Sklon: 57,1°
VstupnĂ­ rychlost: 22,1 km/s
Rektascenze radiantu: 03:10 (47,5°)
Deklinace radiantu: 57,9°
MeteorickĂ˝ roj: sporadickĂ˝
Elementy dráhy meteoroidu:
Vzdálenost v periheliu: 0,263 AU
Excentricita: 0,591
Sklon dráhy: 38,3°
Délka vzestupného uzlu: 139,0°
Argument perihelia: 6,8°
Střední anomálie: 158,7°
Epocha: 2022 AUG 12 00:24:47
orbit plot

NeinteraktivnĂ­ graf | InteraktivnĂ­ graf

position vs time
speed and acceleration