🇳🇴 🇬🇧 🇩🇪 🇨🇿 🇫🇮

Meteor Toften yllä 2022-08-12 00:24:47 UTC

KML-tiedosto  |  Interaktiivinen kartta

Kartta näyttää meteorin suuntahavainnot. Vaaleammat viivat näyttävät suunnat havaintoasemilta meteorin ilmestyessä, ja tummemmat viivat näyttävät, missä se viimeksi nähtiin. Sininen nuoli näyttää meteorin näkyvän lennon.

static map
height profile
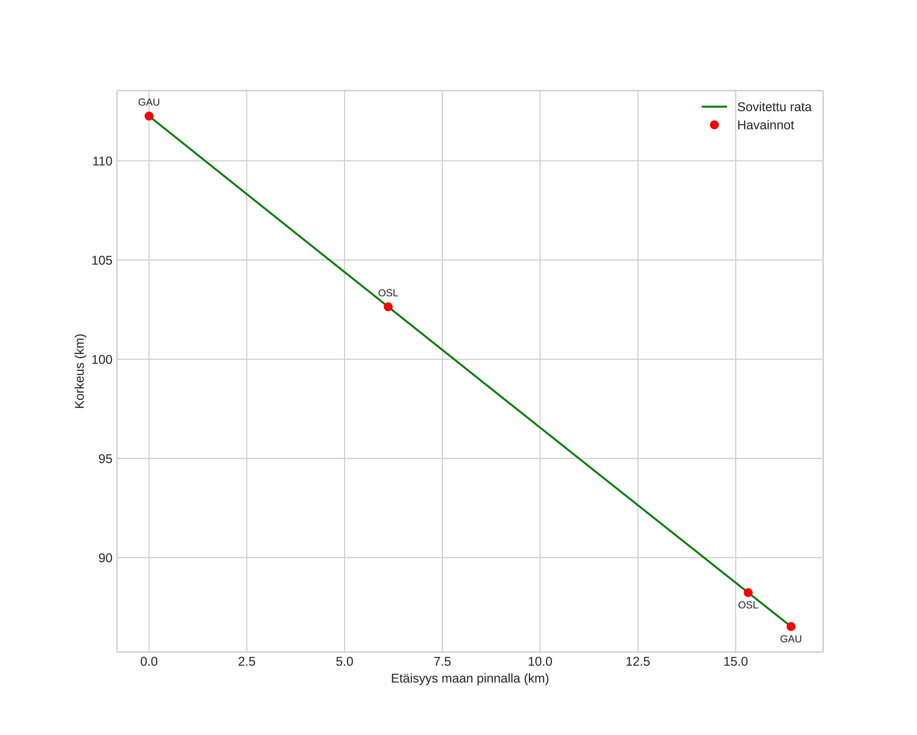
Meteorin ilmakehärata:
Alkukorkeus: 112,0 km
Loppukorkeus: 86,8 km
Alkupiste: 59,667N 10,822E
Loppupiste: 59,596N 10,567E
Suunta: 241,5°
Kallistuskulma: 57,1°
Tulonopeus: 22,1 km/s
Radiantin R,A,: 03:10 (47,5°)
Radiantin Dekl,: 57,9°
Meteoriparvi: Sporadinen
Meteoroidin rataelementit:
Perihelietäisyys: 0,263 AU
Eksentrisyys: 0,591
Inklinaatio: 38,3°
Nousevan solmun pituus: 139,0°
Perihelin argumentti: 6,8°
Keskianomalia: 158,7°
Epookki: 2022 AUG 12 00:24:47
orbit plot

Ei-interaktiivinen kuvaaja | Interaktiivinen kuvaaja

position vs time
speed and acceleration