🇳🇴 🇬🇧 🇩🇪 🇨🇿 🇫🇮

Meteor, poloha: Skagen 2022-08-12 21:23:05 UTC

Soubor KML  |  InteraktivnĂ­ mapa

Mapa zobrazuje dráhy meteoru. Světlejší čáry ukazují směry od pozorovacích stanic při objevení se meteoru a tmavší čáry, kde byl naposledy viděn. Modrá šipka značí viditelnou dráhu meteoru.

static map
height profile
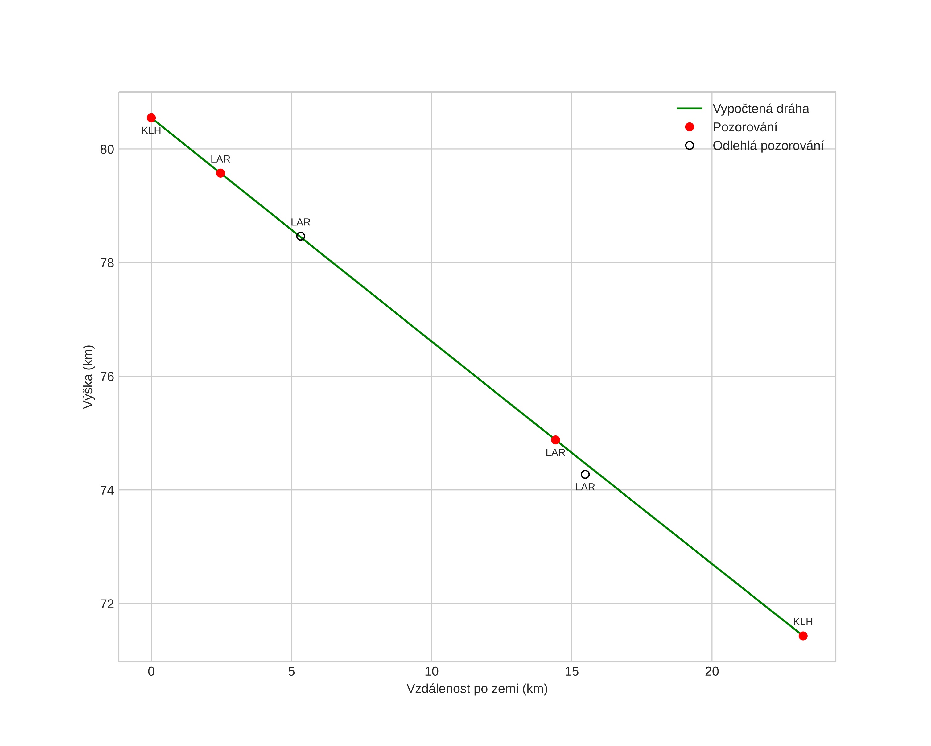
Atmosférická dráha meteoru:
Počáteční výška: 80,1 km
Konečná výška: 71,8 km
Počáteční poloha: 58,431N 10,202E
Konečná poloha: 58,234N 10,205E
Směr: 179,6°
Sklon: 20,7°
VstupnĂ­ rychlost: 33,3 km/s
Rektascenze radiantu: 07:32 (113,1°)
Deklinace radiantu: 50,0°
MeteorickĂ˝ roj: sporadickĂ˝
Elementy dráhy meteoroidu:
Vzdálenost v periheliu: 0,275 AU
Excentricita: 0,749
Sklon dráhy: 46,1°
Délka vzestupného uzlu: 139,8°
Argument perihelia: 45,5°
Střední anomálie: 41,6°
Epocha: 2022 AUG 12 21:23:05
orbit plot

NeinteraktivnĂ­ graf | InteraktivnĂ­ graf

position vs time
speed and acceleration