🇳🇴 🇬🇧 🇩🇪 🇨🇿 🇫🇮

Meteor Skagenin yllä 2022-08-12 21:23:05 UTC

KML-tiedosto  |  Interaktiivinen kartta

Kartta näyttää meteorin suuntahavainnot. Vaaleammat viivat näyttävät suunnat havaintoasemilta meteorin ilmestyessä, ja tummemmat viivat näyttävät, missä se viimeksi nähtiin. Sininen nuoli näyttää meteorin näkyvän lennon.

static map
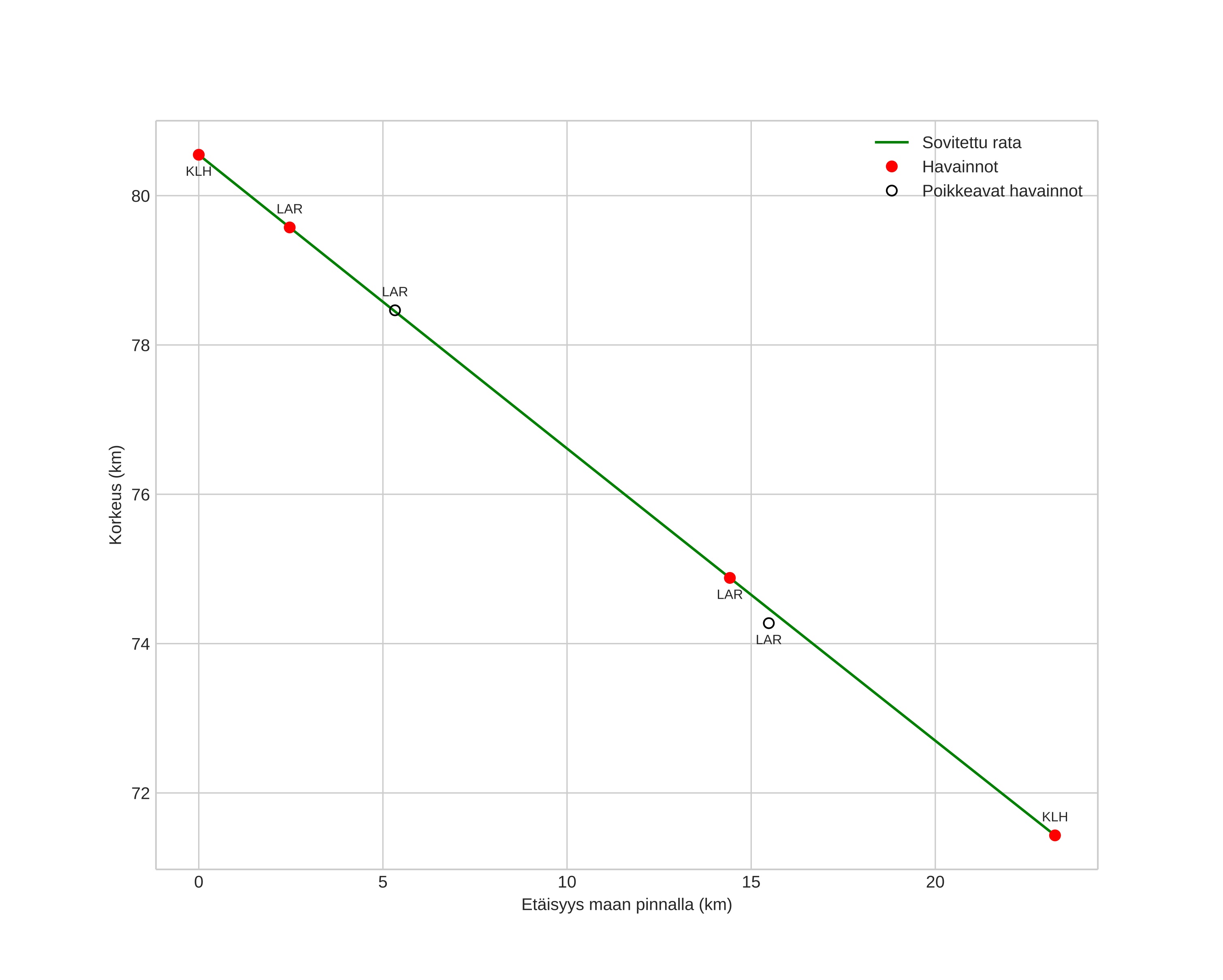
height profile
Meteorin ilmakehärata:
Alkukorkeus: 80,1 km
Loppukorkeus: 71,8 km
Alkupiste: 58,431N 10,202E
Loppupiste: 58,234N 10,205E
Suunta: 179,6°
Kallistuskulma: 20,7°
Tulonopeus: 33,3 km/s
Radiantin R,A,: 07:32 (113,1°)
Radiantin Dekl,: 50,0°
Meteoriparvi: Sporadinen
Meteoroidin rataelementit:
Perihelietäisyys: 0,275 AU
Eksentrisyys: 0,749
Inklinaatio: 46,1°
Nousevan solmun pituus: 139,8°
Perihelin argumentti: 45,5°
Keskianomalia: 41,6°
Epookki: 2022 AUG 12 21:23:05
orbit plot

Ei-interaktiivinen kuvaaja | Interaktiivinen kuvaaja

position vs time
speed and acceleration