🇳🇴 🇬🇧 🇩🇪 🇨🇿 🇫🇮

Meteor, poloha: Tjøme 2022-08-12 21:31:22 UTC

Soubor KML  |  InteraktivnĂ­ mapa

Mapa zobrazuje dráhy meteoru. Světlejší čáry ukazují směry od pozorovacích stanic při objevení se meteoru a tmavší čáry, kde byl naposledy viděn. Modrá šipka značí viditelnou dráhu meteoru.

static map
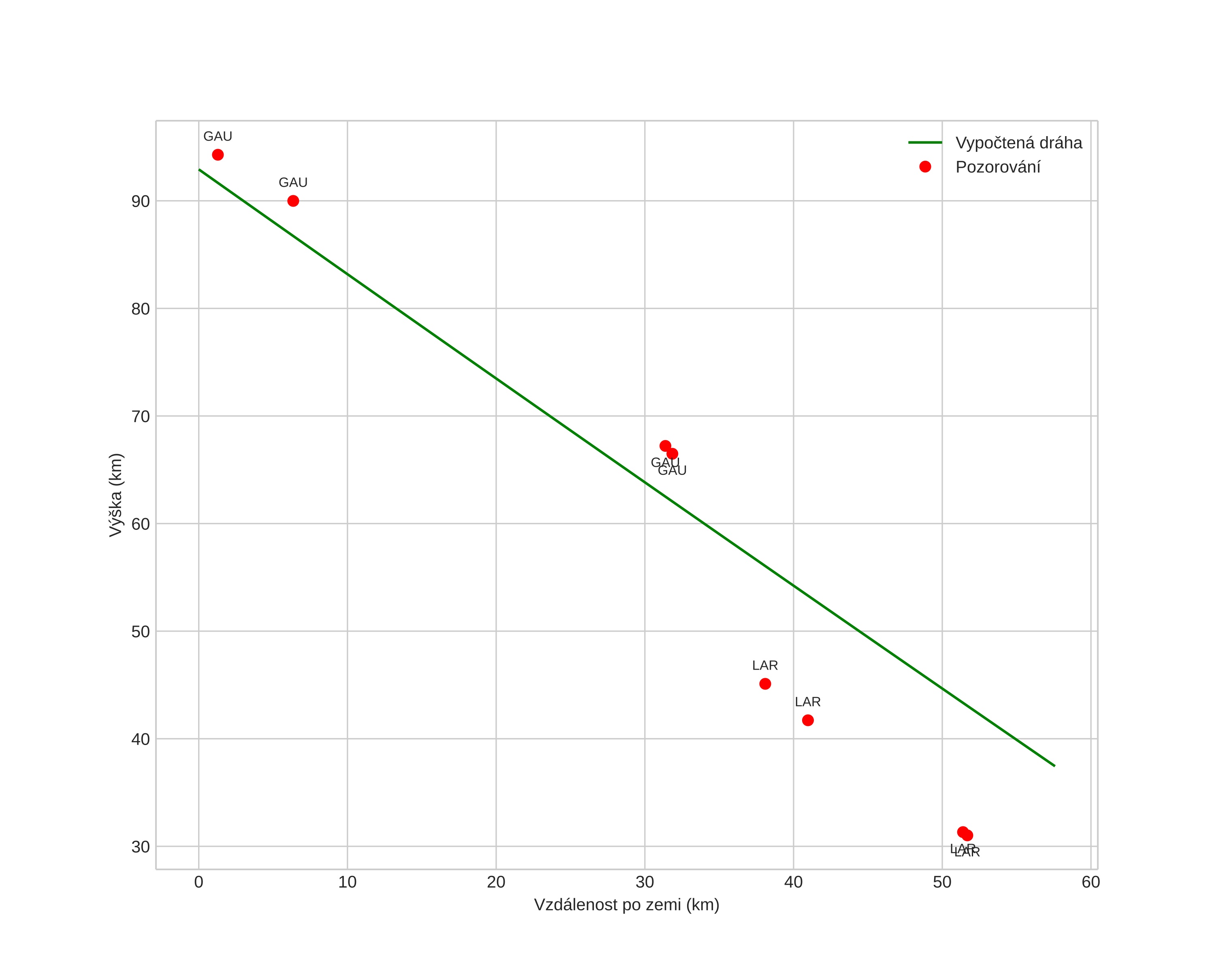
height profile
Atmosférická dráha meteoru:
Počáteční výška: 94,1 km
Konečná výška: 35,8 km
Počáteční poloha: 59,324N 11,346E
Konečná poloha: 59,055N 10,445E
Směr: 240,1°
Sklon: 44,5°
VstupnĂ­ rychlost: 58,7 km/s
Rektascenze radiantu: 01:22 (20,6°)
Deklinace radiantu: 51,3°
MeteorickĂ˝ roj: sporadickĂ˝
Elementy dráhy meteoroidu:
Vzdálenost v periheliu: 0,978 AU
Excentricita: 0,805
Sklon dráhy: 112,3°
Délka vzestupného uzlu: 139,8°
Argument perihelia: 202,8°
Střední anomálie: 358,5°
Epocha: 2022 AUG 12 21:31:22
orbit plot

NeinteraktivnĂ­ graf | InteraktivnĂ­ graf

position vs time
speed and acceleration