🇳🇴 🇬🇧 🇩🇪 🇨🇿 🇫🇮

Meteor Tjømen yllä 2022-08-12 21:31:22 UTC

KML-tiedosto  |  Interaktiivinen kartta

Kartta näyttää meteorin suuntahavainnot. Vaaleammat viivat näyttävät suunnat havaintoasemilta meteorin ilmestyessä, ja tummemmat viivat näyttävät, missä se viimeksi nähtiin. Sininen nuoli näyttää meteorin näkyvän lennon.

static map
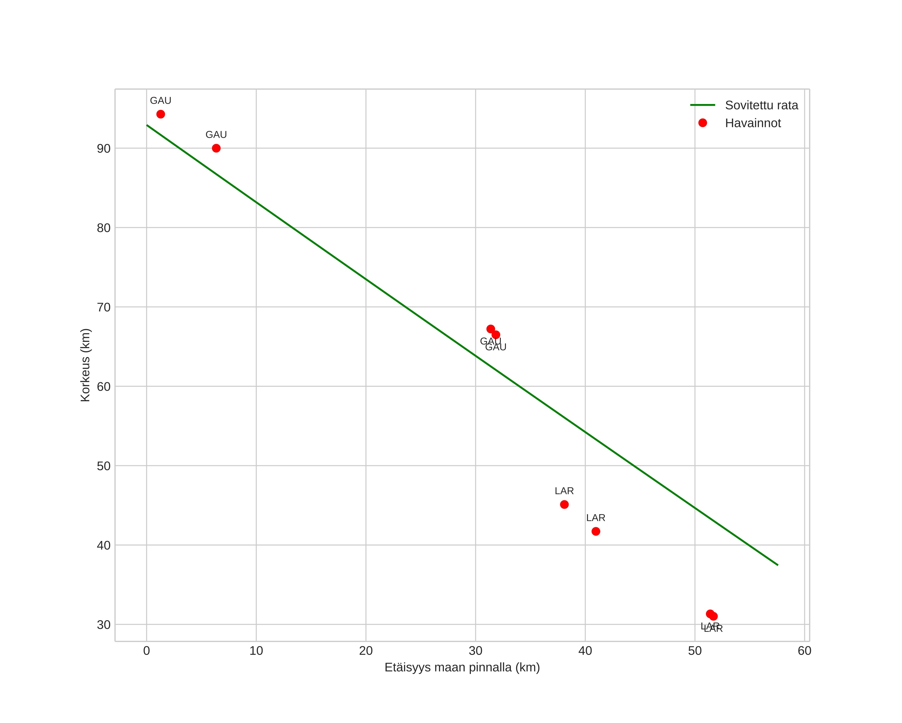
height profile
Meteorin ilmakehärata:
Alkukorkeus: 94,1 km
Loppukorkeus: 35,8 km
Alkupiste: 59,324N 11,346E
Loppupiste: 59,055N 10,445E
Suunta: 240,1°
Kallistuskulma: 44,5°
Tulonopeus: 58,7 km/s
Radiantin R,A,: 01:22 (20,6°)
Radiantin Dekl,: 51,3°
Meteoriparvi: Sporadinen
Meteoroidin rataelementit:
Perihelietäisyys: 0,978 AU
Eksentrisyys: 0,805
Inklinaatio: 112,3°
Nousevan solmun pituus: 139,8°
Perihelin argumentti: 202,8°
Keskianomalia: 358,5°
Epookki: 2022 AUG 12 21:31:22
orbit plot

Ei-interaktiivinen kuvaaja | Interaktiivinen kuvaaja

position vs time
speed and acceleration