🇳🇴 🇬🇧 🇩🇪 🇨🇿 🇫🇮

Meteor, poloha: Stavern 2022-08-12 21:49:25 UTC

Soubor KML  |  InteraktivnĂ­ mapa

Mapa zobrazuje dráhy meteoru. Světlejší čáry ukazují směry od pozorovacích stanic při objevení se meteoru a tmavší čáry, kde byl naposledy viděn. Modrá šipka značí viditelnou dráhu meteoru.

static map
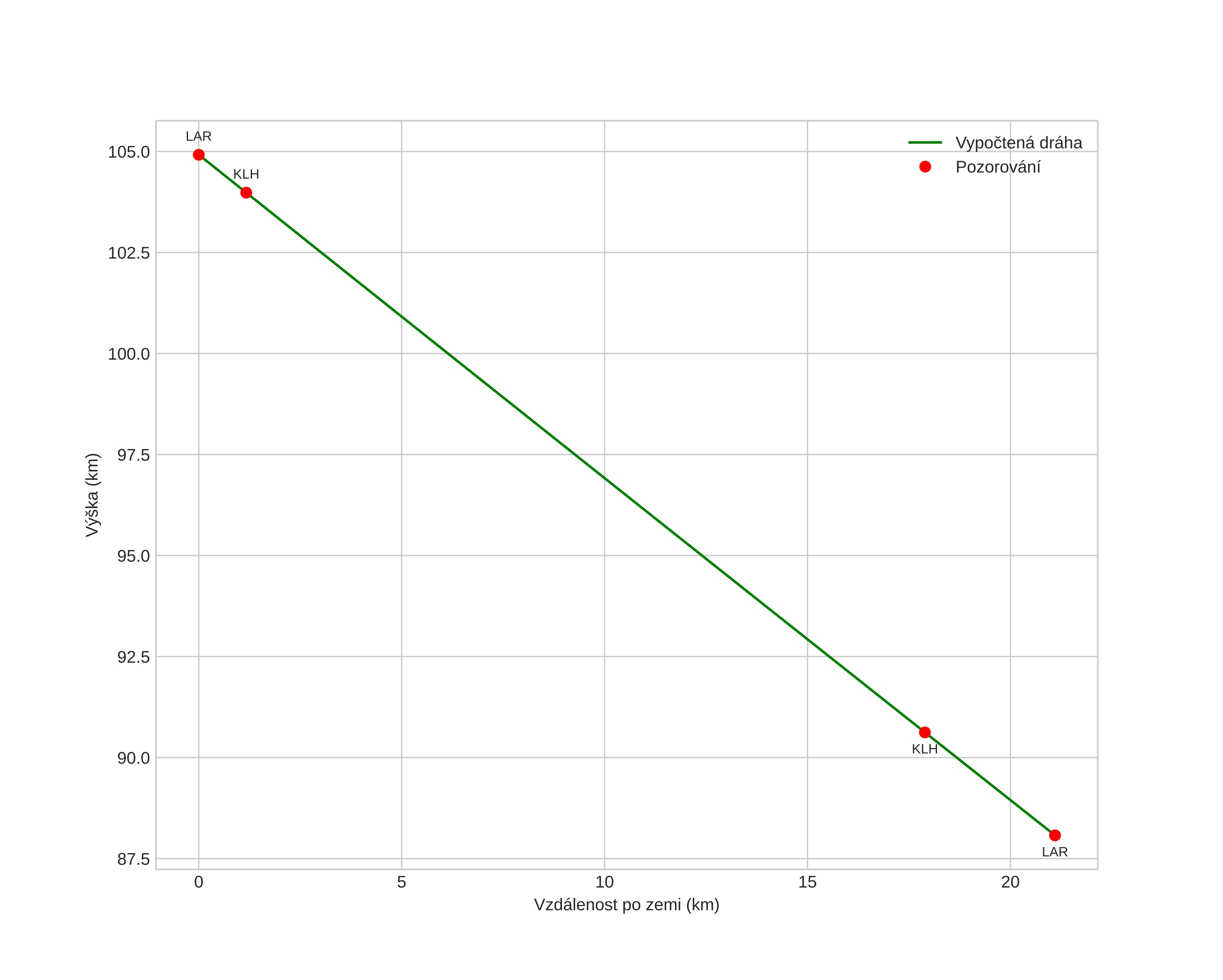
height profile
Atmosférická dráha meteoru:
Počáteční výška: 104,1 km
Konečná výška: 88,0 km
Počáteční poloha: 58,766N 10,131E
Konečná poloha: 58,626N 9,909E
Směr: 219,5°
Sklon: 38,5°
VstupnĂ­ rychlost: 70,0 km/s
Rektascenze radiantu: 03:19 (49,9°)
Deklinace radiantu: 57,5°
MeteorickĂ˝ roj: Perseidy
Elementy dráhy meteoroidu:
Vzdálenost v periheliu: 0,959 AU
Excentricita: 1,819
Sklon dráhy: 119,2°
Délka vzestupného uzlu: 139,9°
Argument perihelia: 156,5°
Střední anomálie: 10,8°
Epocha: 2022 AUG 12 21:49:25
orbit plot

NeinteraktivnĂ­ graf | InteraktivnĂ­ graf

position vs time
speed and acceleration