🇳🇴 🇬🇧 🇩🇪 🇨🇿 🇫🇮

Meteor Stavernin yllä 2022-08-12 21:49:25 UTC

KML-tiedosto  |  Interaktiivinen kartta

Kartta näyttää meteorin suuntahavainnot. Vaaleammat viivat näyttävät suunnat havaintoasemilta meteorin ilmestyessä, ja tummemmat viivat näyttävät, missä se viimeksi nähtiin. Sininen nuoli näyttää meteorin näkyvän lennon.

static map
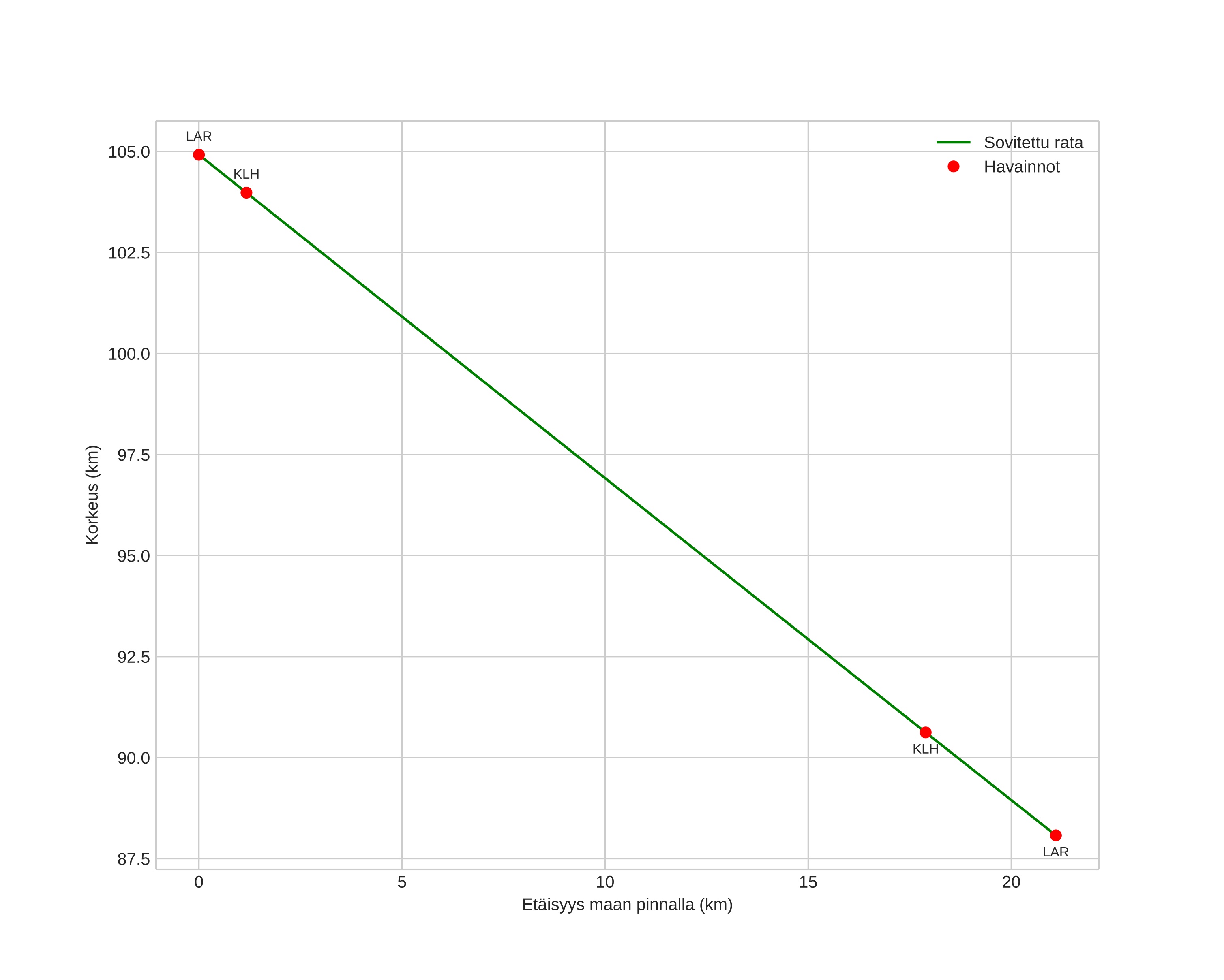
height profile
Meteorin ilmakehärata:
Alkukorkeus: 104,1 km
Loppukorkeus: 88,0 km
Alkupiste: 58,766N 10,131E
Loppupiste: 58,626N 9,909E
Suunta: 219,5°
Kallistuskulma: 38,5°
Tulonopeus: 70,0 km/s
Radiantin R,A,: 03:19 (49,9°)
Radiantin Dekl,: 57,5°
Meteoriparvi: Perseidit
Meteoroidin rataelementit:
Perihelietäisyys: 0,959 AU
Eksentrisyys: 1,819
Inklinaatio: 119,2°
Nousevan solmun pituus: 139,9°
Perihelin argumentti: 156,5°
Keskianomalia: 10,8°
Epookki: 2022 AUG 12 21:49:25
orbit plot

Ei-interaktiivinen kuvaaja | Interaktiivinen kuvaaja

position vs time
speed and acceleration