🇳🇴 🇬🇧 🇩🇪 🇨🇿 🇫🇮

Meteor, poloha: Donsö 2022-08-12 22:48:08 UTC

Soubor KML  |  InteraktivnĂ­ mapa

Mapa zobrazuje dráhy meteoru. Světlejší čáry ukazují směry od pozorovacích stanic při objevení se meteoru a tmavší čáry, kde byl naposledy viděn. Modrá šipka značí viditelnou dráhu meteoru.

static map
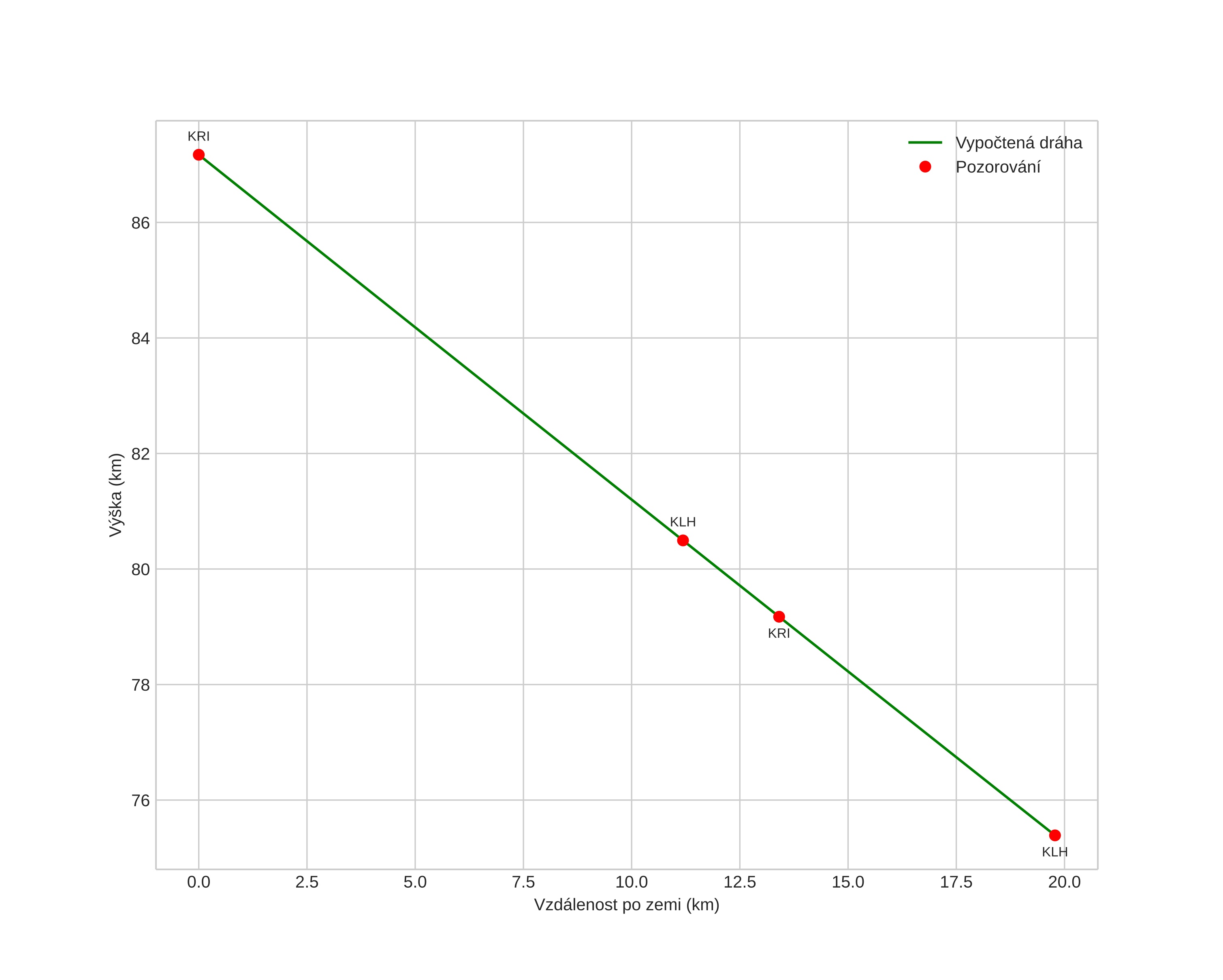
height profile
Atmosférická dráha meteoru:
Počáteční výška: 87,2 km
Konečná výška: 75,4 km
Počáteční poloha: 57,652N 11,620E
Konečná poloha: 57,480N 11,705E
Směr: 165,1°
Sklon: 30,8°
VstupnĂ­ rychlost: 43,9 km/s
Rektascenze radiantu: 10:47 (161,9°)
Deklinace radiantu: 60,3°
MeteorickĂ˝ roj: sporadickĂ˝
Elementy dráhy meteoroidu:
Vzdálenost v periheliu: 0,743 AU
Excentricita: 1,611
Sklon dráhy: 49,7°
Délka vzestupného uzlu: 139,9°
Argument perihelia: 124,6°
Střední anomálie: 20,3°
Epocha: 2022 AUG 12 22:48:08
orbit plot

NeinteraktivnĂ­ graf | InteraktivnĂ­ graf

position vs time
speed and acceleration