🇳🇴 🇬🇧 🇩🇪 🇨🇿 🇫🇮

Meteor Donsöin yllä 2022-08-12 22:48:08 UTC

KML-tiedosto  |  Interaktiivinen kartta

Kartta näyttää meteorin suuntahavainnot. Vaaleammat viivat näyttävät suunnat havaintoasemilta meteorin ilmestyessä, ja tummemmat viivat näyttävät, missä se viimeksi nähtiin. Sininen nuoli näyttää meteorin näkyvän lennon.

static map
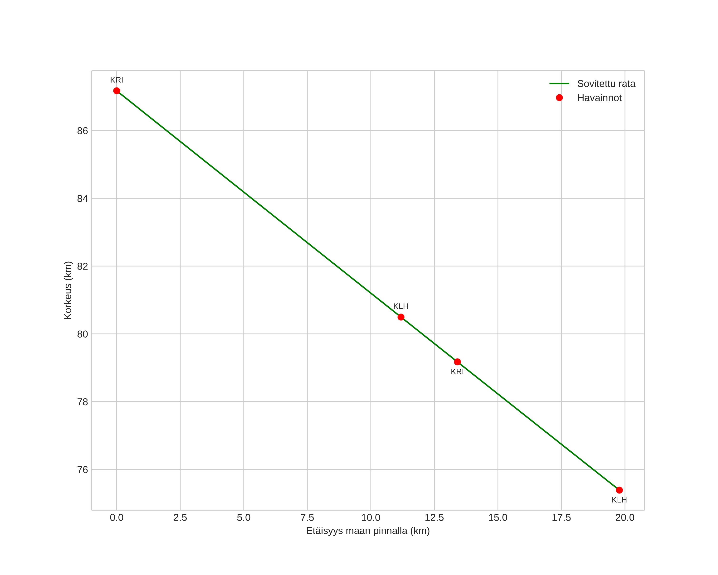
height profile
Meteorin ilmakehärata:
Alkukorkeus: 87,2 km
Loppukorkeus: 75,4 km
Alkupiste: 57,652N 11,620E
Loppupiste: 57,480N 11,705E
Suunta: 165,1°
Kallistuskulma: 30,8°
Tulonopeus: 43,9 km/s
Radiantin R,A,: 10:47 (161,9°)
Radiantin Dekl,: 60,3°
Meteoriparvi: Sporadinen
Meteoroidin rataelementit:
Perihelietäisyys: 0,743 AU
Eksentrisyys: 1,611
Inklinaatio: 49,7°
Nousevan solmun pituus: 139,9°
Perihelin argumentti: 124,6°
Keskianomalia: 20,3°
Epookki: 2022 AUG 12 22:48:08
orbit plot

Ei-interaktiivinen kuvaaja | Interaktiivinen kuvaaja

position vs time
speed and acceleration