🇳🇴 🇬🇧 🇩🇪 🇨🇿 🇫🇮

Meteor, poloha: Donsö 2022-08-12 22:48:09 UTC

Soubor KML  |  InteraktivnĂ­ mapa

Mapa zobrazuje dráhy meteoru. Světlejší čáry ukazují směry od pozorovacích stanic při objevení se meteoru a tmavší čáry, kde byl naposledy viděn. Modrá šipka značí viditelnou dráhu meteoru.

static map
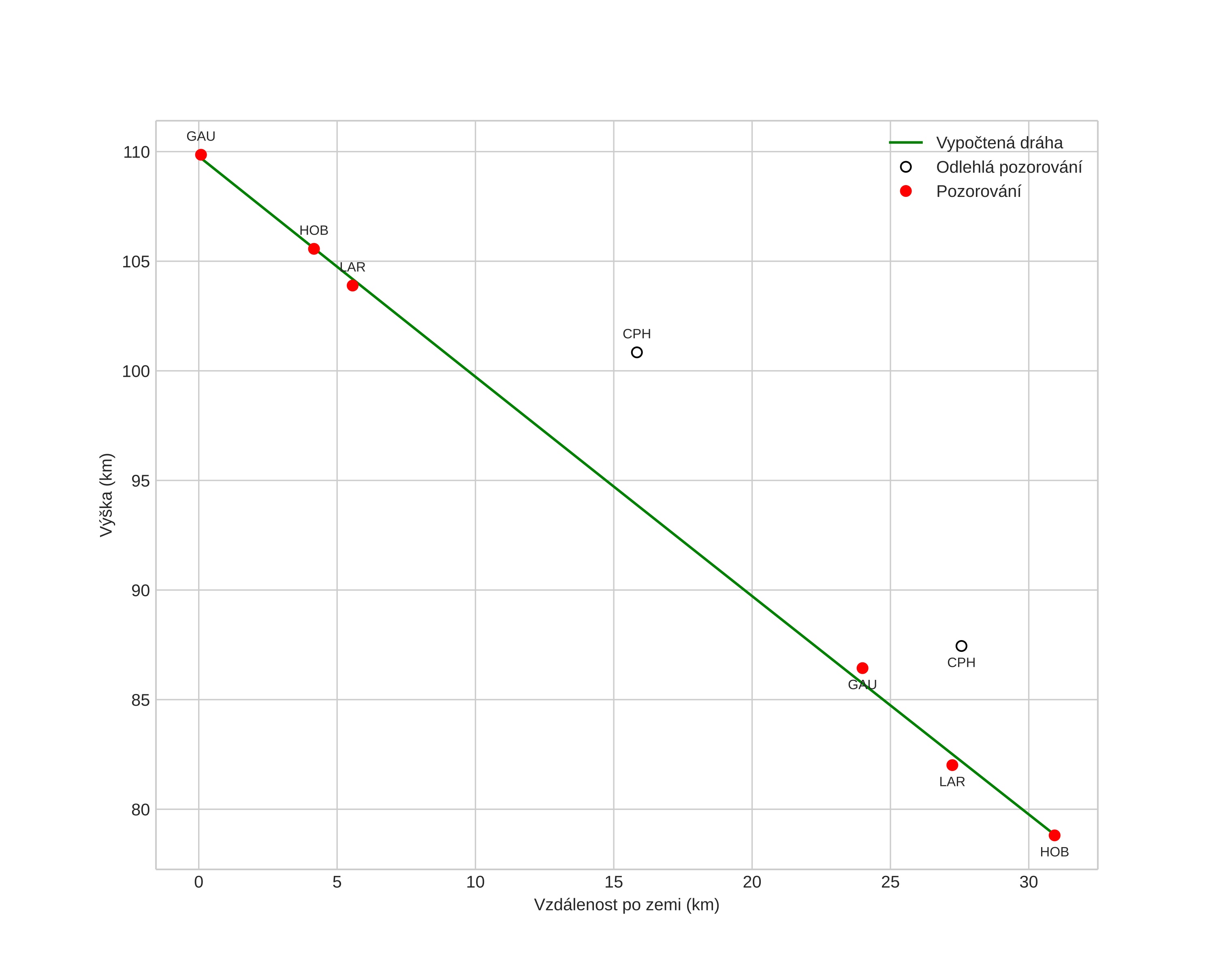
height profile
Atmosférická dráha meteoru:
Počáteční výška: 108,7 km
Konečná výška: 78,9 km
Počáteční poloha: 57,678N 12,163E
Konečná poloha: 57,494N 11,799E
Směr: 226,8°
Sklon: 45,0°
VstupnĂ­ rychlost: 60,9 km/s
Rektascenze radiantu: 03:15 (49,0°)
Deklinace radiantu: 58,7°
MeteorickĂ˝ roj: Perseidy
Elementy dráhy meteoroidu:
Vzdálenost v periheliu: 0,945 AU
Excentricita: 1,029
Sklon dráhy: 112,7°
Délka vzestupného uzlu: 139,9°
Argument perihelia: 150,1°
Střední anomálie: 0,1°
Epocha: 2022 AUG 12 22:48:09
orbit plot

NeinteraktivnĂ­ graf | InteraktivnĂ­ graf

position vs time
speed and acceleration