🇳🇴 🇬🇧 🇩🇪 🇨🇿 🇫🇮

Meteor Donsöin yllä 2022-08-12 22:48:09 UTC

KML-tiedosto  |  Interaktiivinen kartta

Kartta näyttää meteorin suuntahavainnot. Vaaleammat viivat näyttävät suunnat havaintoasemilta meteorin ilmestyessä, ja tummemmat viivat näyttävät, missä se viimeksi nähtiin. Sininen nuoli näyttää meteorin näkyvän lennon.

static map
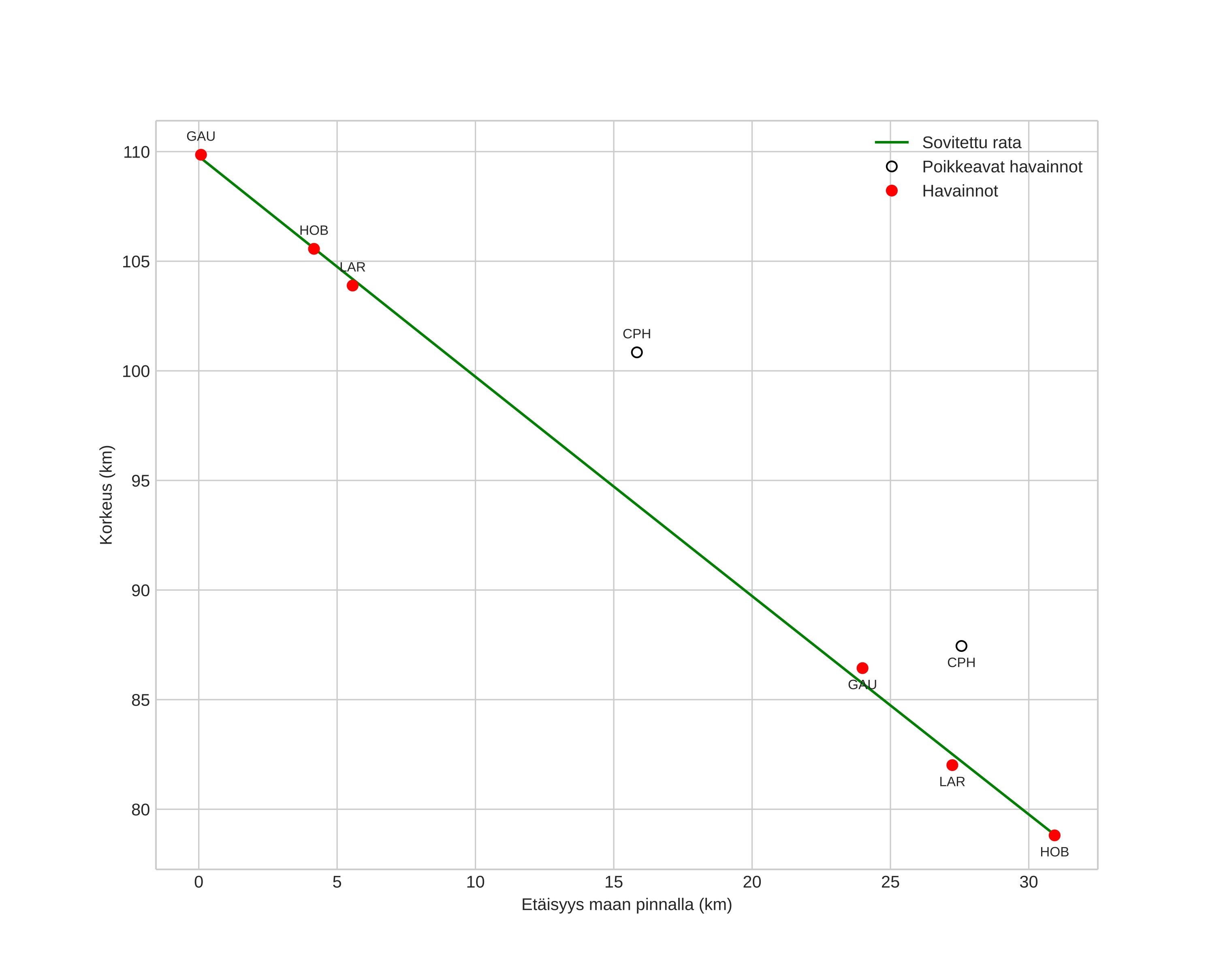
height profile
Meteorin ilmakehärata:
Alkukorkeus: 108,7 km
Loppukorkeus: 78,9 km
Alkupiste: 57,678N 12,163E
Loppupiste: 57,494N 11,799E
Suunta: 226,8°
Kallistuskulma: 45,0°
Tulonopeus: 60,9 km/s
Radiantin R,A,: 03:15 (49,0°)
Radiantin Dekl,: 58,7°
Meteoriparvi: Perseidit
Meteoroidin rataelementit:
Perihelietäisyys: 0,945 AU
Eksentrisyys: 1,029
Inklinaatio: 112,7°
Nousevan solmun pituus: 139,9°
Perihelin argumentti: 150,1°
Keskianomalia: 0,1°
Epookki: 2022 AUG 12 22:48:09
orbit plot

Ei-interaktiivinen kuvaaja | Interaktiivinen kuvaaja

position vs time
speed and acceleration