🇳🇴 🇬🇧 🇩🇪 🇨🇿 🇫🇮

Meteor, poloha: Gilleleje 2022-08-13 00:16:17 UTC

Soubor KML  |  InteraktivnĂ­ mapa

Mapa zobrazuje dráhy meteoru. Světlejší čáry ukazují směry od pozorovacích stanic při objevení se meteoru a tmavší čáry, kde byl naposledy viděn. Modrá šipka značí viditelnou dráhu meteoru.

static map
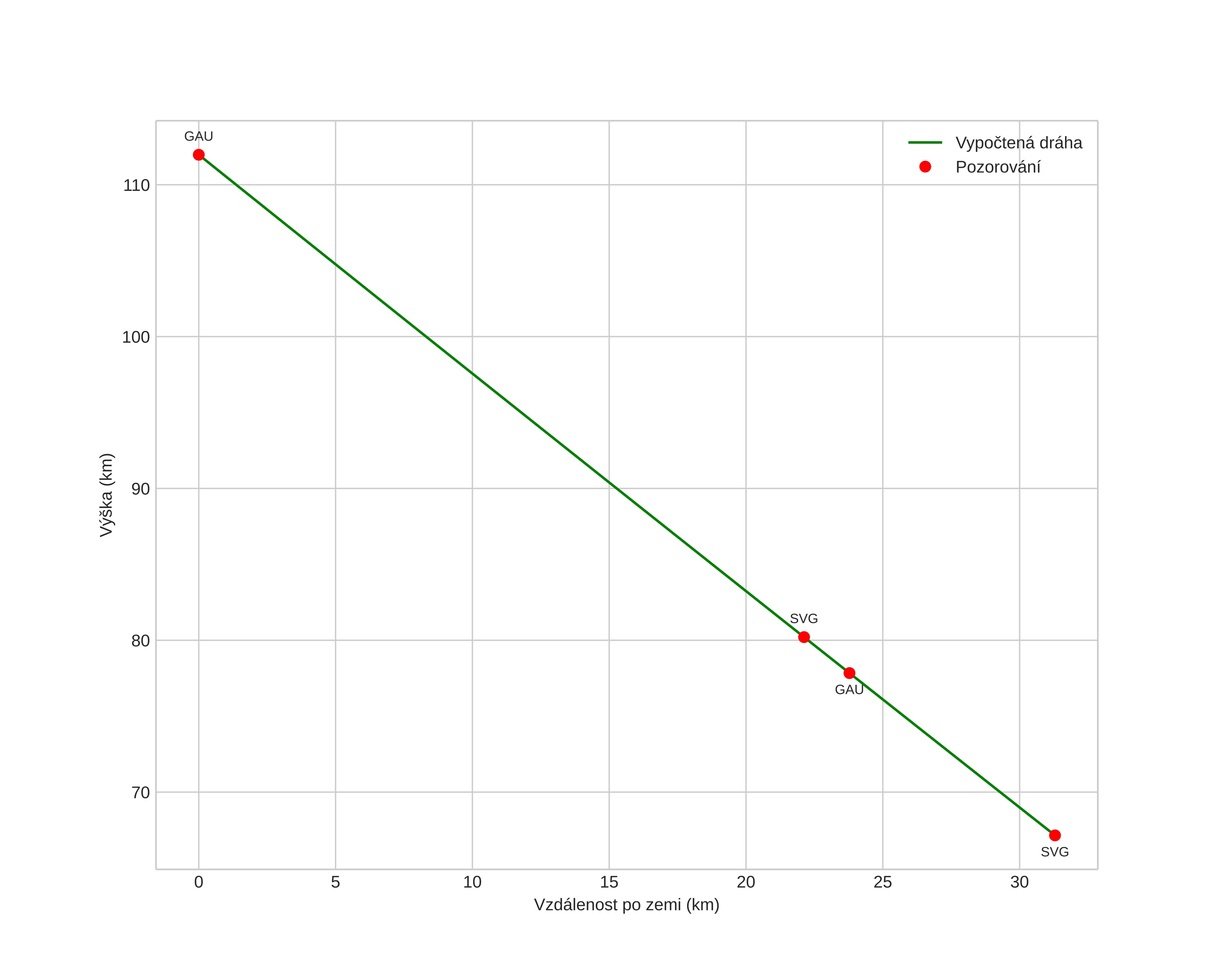
height profile
Atmosférická dráha meteoru:
Počáteční výška: 111,3 km
Konečná výška: 67,5 km
Počáteční poloha: 56,611N 12,582E
Konečná poloha: 56,505N 12,144E
Směr: 246,6°
Sklon: 56,2°
VstupnĂ­ rychlost: 67,6 km/s
Rektascenze radiantu: 02:37 (39,5°)
Deklinace radiantu: 54,5°
MeteorickĂ˝ roj: Perseidy
Elementy dráhy meteoroidu:
Vzdálenost v periheliu: 1,003 AU
Excentricita: 1,484
Sklon dráhy: 120,6°
Délka vzestupného uzlu: 140,0°
Argument perihelia: 169,3°
Střední anomálie: 2,3°
Epocha: 2022 AUG 13 00:16:17
orbit plot

NeinteraktivnĂ­ graf | InteraktivnĂ­ graf

position vs time
speed and acceleration