🇳🇴 🇬🇧 🇩🇪 🇨🇿 🇫🇮

Meteor Gillelejen yllä 2022-08-13 00:16:17 UTC

KML-tiedosto  |  Interaktiivinen kartta

Kartta näyttää meteorin suuntahavainnot. Vaaleammat viivat näyttävät suunnat havaintoasemilta meteorin ilmestyessä, ja tummemmat viivat näyttävät, missä se viimeksi nähtiin. Sininen nuoli näyttää meteorin näkyvän lennon.

static map
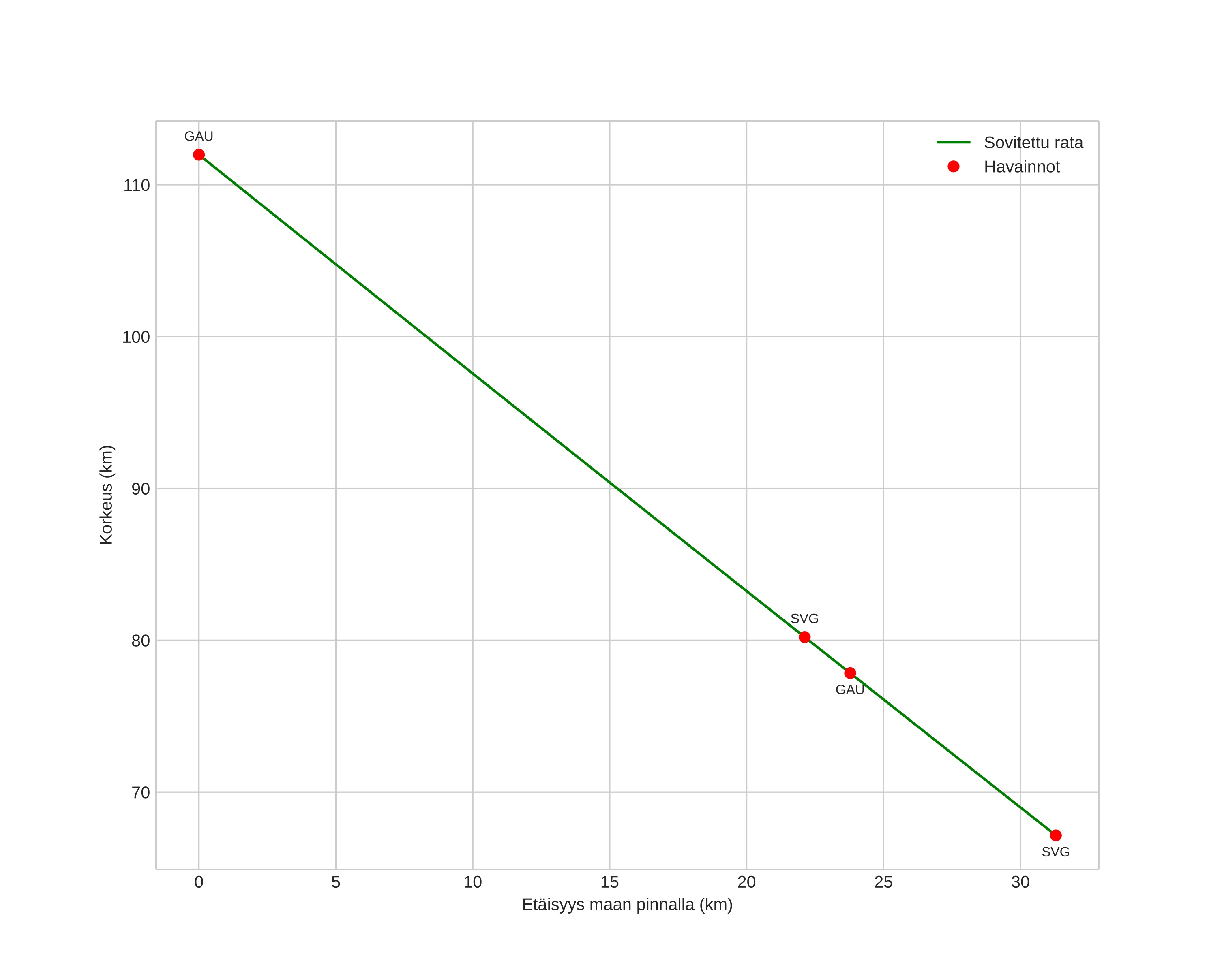
height profile
Meteorin ilmakehärata:
Alkukorkeus: 111,3 km
Loppukorkeus: 67,5 km
Alkupiste: 56,611N 12,582E
Loppupiste: 56,505N 12,144E
Suunta: 246,6°
Kallistuskulma: 56,2°
Tulonopeus: 67,6 km/s
Radiantin R,A,: 02:37 (39,5°)
Radiantin Dekl,: 54,5°
Meteoriparvi: Perseidit
Meteoroidin rataelementit:
Perihelietäisyys: 1,003 AU
Eksentrisyys: 1,484
Inklinaatio: 120,6°
Nousevan solmun pituus: 140,0°
Perihelin argumentti: 169,3°
Keskianomalia: 2,3°
Epookki: 2022 AUG 13 00:16:17
orbit plot

Ei-interaktiivinen kuvaaja | Interaktiivinen kuvaaja

position vs time
speed and acceleration