🇳🇴 🇬🇧 🇩🇪 🇨🇿 🇫🇮

Meteor, poloha: Karlshus 2022-08-13 20:58:13 UTC

Soubor KML  |  InteraktivnĂ­ mapa

Mapa zobrazuje dráhy meteoru. Světlejší čáry ukazují směry od pozorovacích stanic při objevení se meteoru a tmavší čáry, kde byl naposledy viděn. Modrá šipka značí viditelnou dráhu meteoru.

static map
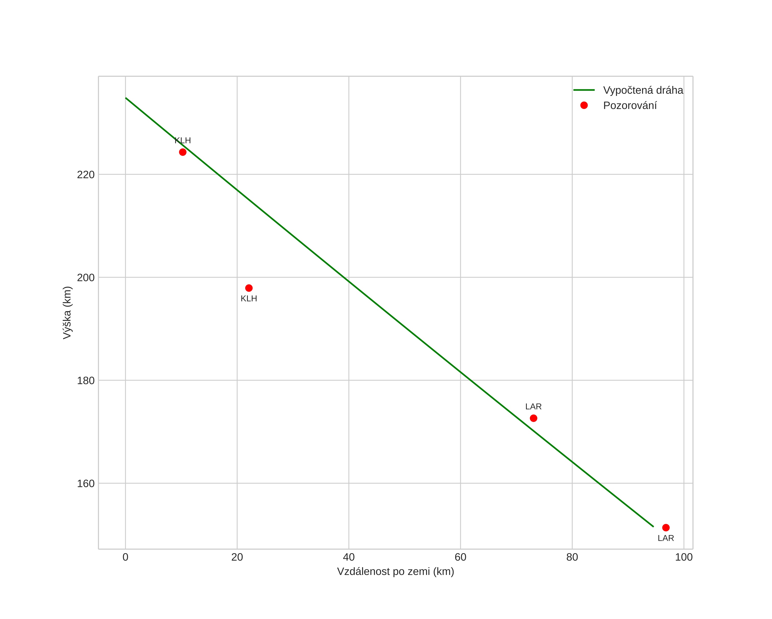
height profile
Atmosférická dráha meteoru:
Počáteční výška: 241,4 km
Konečná výška: 152,1 km
Počáteční poloha: 60,101N 11,808E
Konečná poloha: 59,311N 10,817E
Směr: 212,8°
Sklon: 40,7°
VstupnĂ­ rychlost: 100,6 km/s
Rektascenze radiantu: 03:09 (47,3°)
Deklinace radiantu: 61,9°
MeteorickĂ˝ roj: sporadickĂ˝
Elementy dráhy meteoroidu:
Vzdálenost v periheliu: 0,987 AU
Excentricita: 6,407
Sklon dráhy: 122,4°
Délka vzestupného uzlu: 140,8°
Argument perihelia: 165,9°
Střední anomálie: 66,4°
Epocha: 2022 AUG 13 20:58:13
orbit plot

NeinteraktivnĂ­ graf | InteraktivnĂ­ graf

position vs time
speed and acceleration