🇳🇴 🇬🇧 🇩🇪 🇨🇿 🇫🇮

Meteor Karlshusin yllä 2022-08-13 20:58:13 UTC

KML-tiedosto  |  Interaktiivinen kartta

Kartta näyttää meteorin suuntahavainnot. Vaaleammat viivat näyttävät suunnat havaintoasemilta meteorin ilmestyessä, ja tummemmat viivat näyttävät, missä se viimeksi nähtiin. Sininen nuoli näyttää meteorin näkyvän lennon.

static map
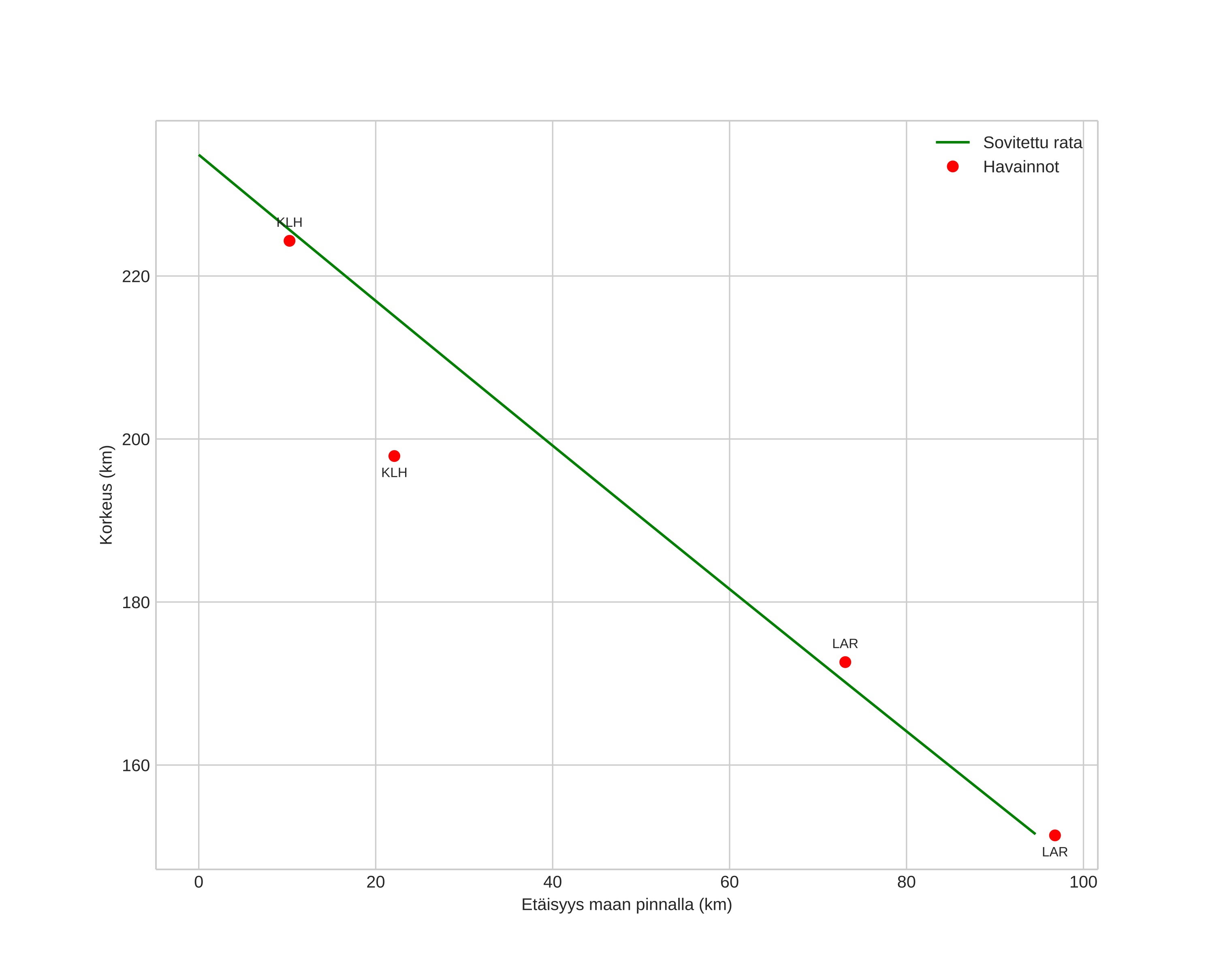
height profile
Meteorin ilmakehärata:
Alkukorkeus: 241,4 km
Loppukorkeus: 152,1 km
Alkupiste: 60,101N 11,808E
Loppupiste: 59,311N 10,817E
Suunta: 212,8°
Kallistuskulma: 40,7°
Tulonopeus: 100,6 km/s
Radiantin R,A,: 03:09 (47,3°)
Radiantin Dekl,: 61,9°
Meteoriparvi: Sporadinen
Meteoroidin rataelementit:
Perihelietäisyys: 0,987 AU
Eksentrisyys: 6,407
Inklinaatio: 122,4°
Nousevan solmun pituus: 140,8°
Perihelin argumentti: 165,9°
Keskianomalia: 66,4°
Epookki: 2022 AUG 13 20:58:13
orbit plot

Ei-interaktiivinen kuvaaja | Interaktiivinen kuvaaja

position vs time
speed and acceleration