🇳🇴 🇬🇧 🇩🇪 🇨🇿 🇫🇮

Meteor, poloha: Vennesla 2022-08-13 22:19:26 UTC

Soubor KML  |  InteraktivnĂ­ mapa

Mapa zobrazuje dráhy meteoru. Světlejší čáry ukazují směry od pozorovacích stanic při objevení se meteoru a tmavší čáry, kde byl naposledy viděn. Modrá šipka značí viditelnou dráhu meteoru.

static map
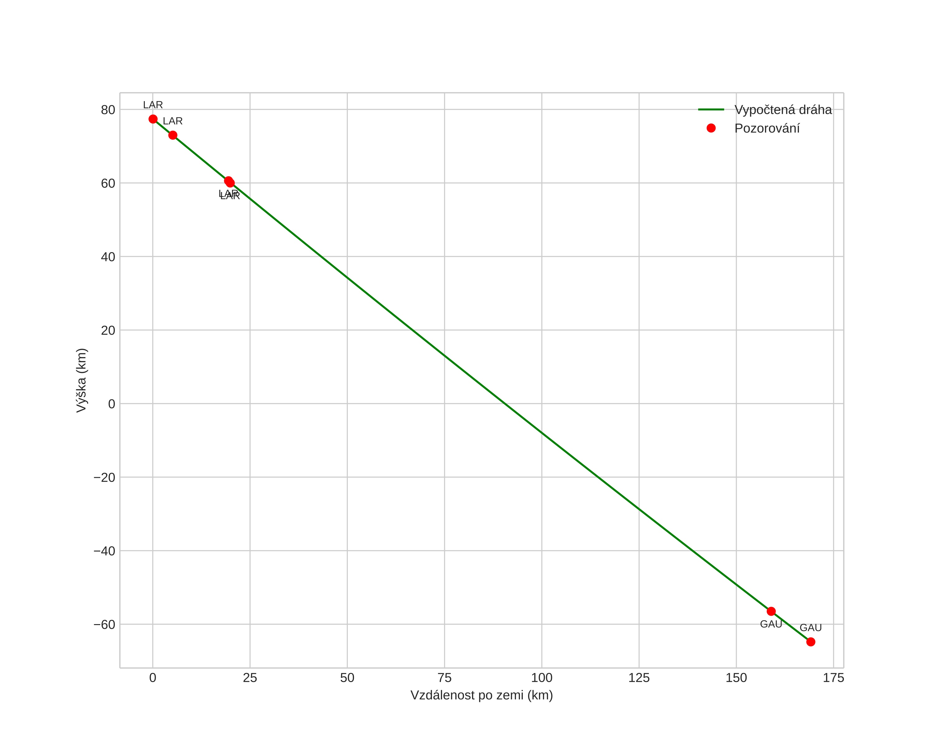
height profile
Atmosférická dráha meteoru:
Počáteční výška: 78,1 km
Konečná výška: -65,3 km
Počáteční poloha: 59,435N 10,161E
Konečná poloha: 58,367N 8,038E
Směr: 226,7°
Sklon: 40,1°
VstupnĂ­ rychlost: 1,9 km/s
orbit plot
position vs time
speed and acceleration