🇳🇴 🇬🇧 🇩🇪 🇨🇿 🇫🇮

Meteor Venneslan yllä 2022-08-13 22:19:26 UTC

KML-tiedosto  |  Interaktiivinen kartta

Kartta näyttää meteorin suuntahavainnot. Vaaleammat viivat näyttävät suunnat havaintoasemilta meteorin ilmestyessä, ja tummemmat viivat näyttävät, missä se viimeksi nähtiin. Sininen nuoli näyttää meteorin näkyvän lennon.

static map
height profile
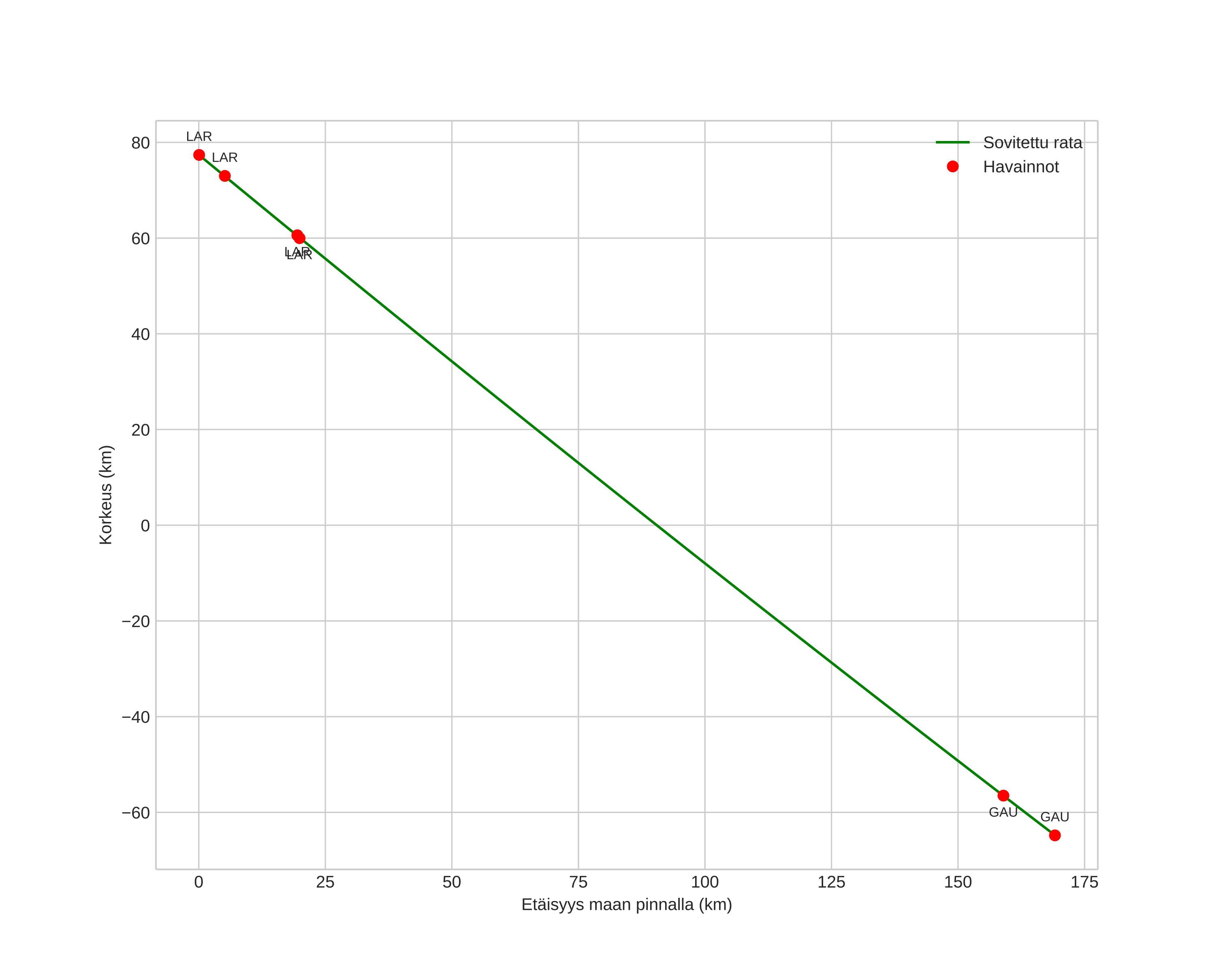
Meteorin ilmakehärata:
Alkukorkeus: 78,1 km
Loppukorkeus: -65,3 km
Alkupiste: 59,435N 10,161E
Loppupiste: 58,367N 8,038E
Suunta: 226,7°
Kallistuskulma: 40,1°
Tulonopeus: 1,9 km/s
orbit plot
position vs time
speed and acceleration