🇳🇴 🇬🇧 🇩🇪 🇨🇿 🇫🇮

Meteor, poloha: Lerum 2022-08-13 22:23:58 UTC

Soubor KML  |  InteraktivnĂ­ mapa

Mapa zobrazuje dráhy meteoru. Světlejší čáry ukazují směry od pozorovacích stanic při objevení se meteoru a tmavší čáry, kde byl naposledy viděn. Modrá šipka značí viditelnou dráhu meteoru.

static map
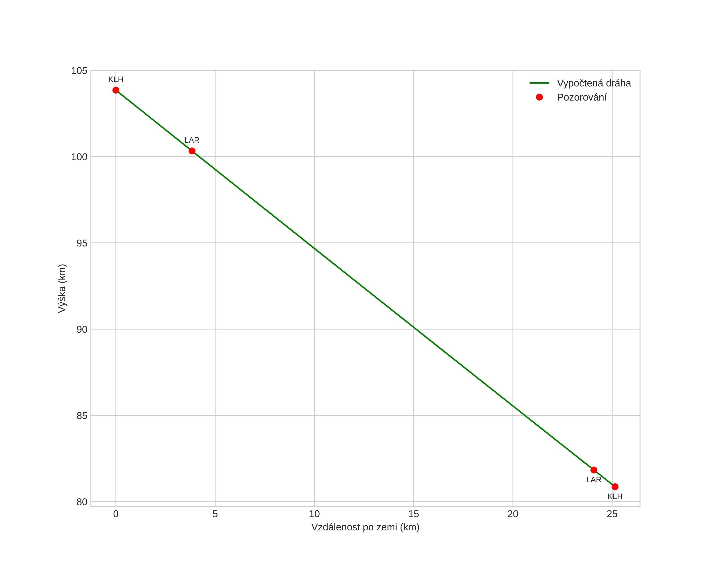
height profile
Atmosférická dráha meteoru:
Počáteční výška: 103,9 km
Konečná výška: 80,9 km
Počáteční poloha: 57,947N 12,568E
Konečná poloha: 57,788N 12,266E
Směr: 225,4°
Sklon: 42,4°
VstupnĂ­ rychlost: 61,9 km/s
Rektascenze radiantu: 03:18 (49,7°)
Deklinace radiantu: 57,7°
MeteorickĂ˝ roj: Perseidy
Elementy dráhy meteoroidu:
Vzdálenost v periheliu: 0,951 AU
Excentricita: 1,056
Sklon dráhy: 115,0°
Délka vzestupného uzlu: 140,8°
Argument perihelia: 151,7°
Střední anomálie: 0,3°
Epocha: 2022 AUG 13 22:23:58
orbit plot

NeinteraktivnĂ­ graf | InteraktivnĂ­ graf

position vs time
speed and acceleration