🇳🇴 🇬🇧 🇩🇪 🇨🇿 🇫🇮

Meteor Lerumin yllä 2022-08-13 22:23:58 UTC

KML-tiedosto  |  Interaktiivinen kartta

Kartta näyttää meteorin suuntahavainnot. Vaaleammat viivat näyttävät suunnat havaintoasemilta meteorin ilmestyessä, ja tummemmat viivat näyttävät, missä se viimeksi nähtiin. Sininen nuoli näyttää meteorin näkyvän lennon.

static map
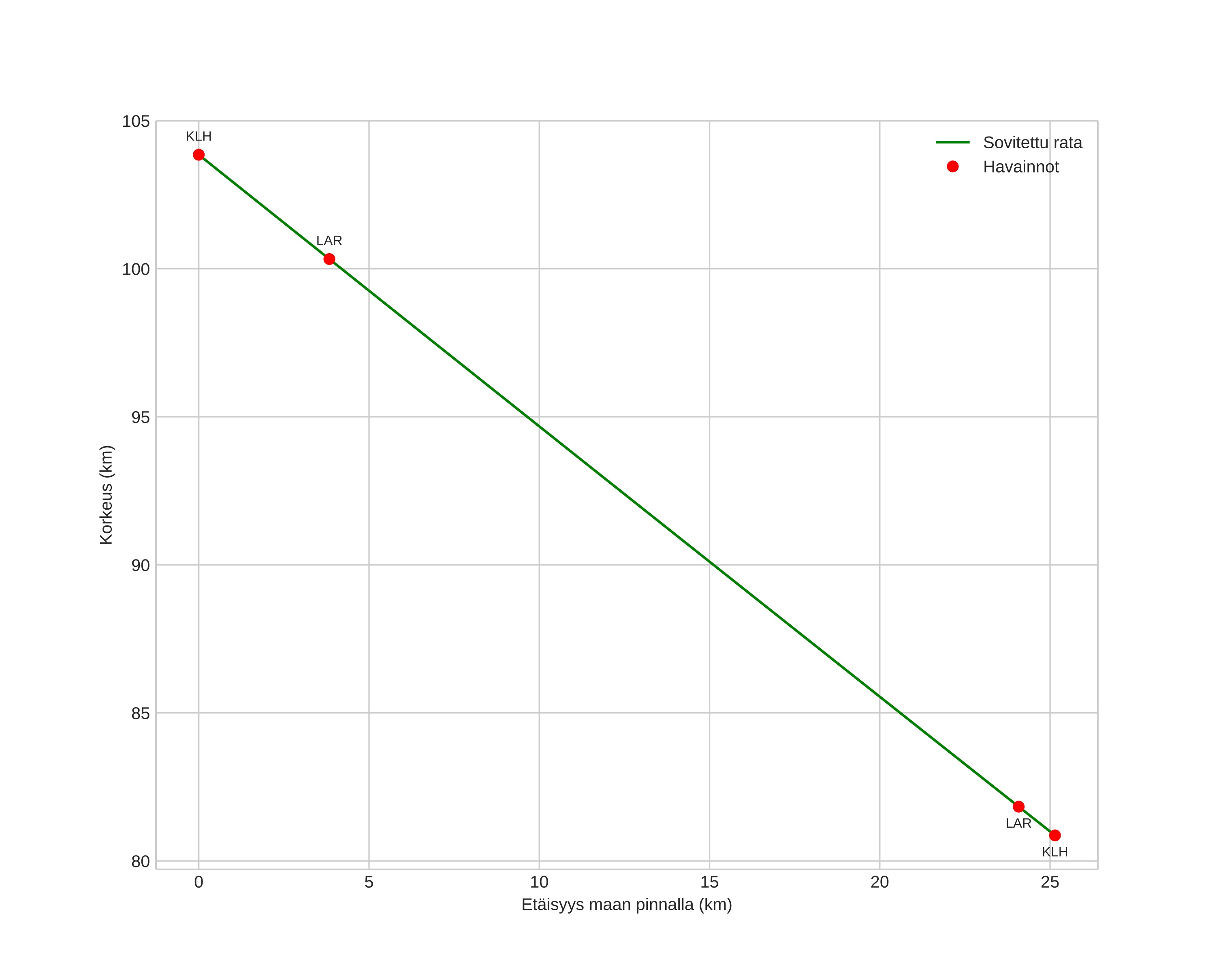
height profile
Meteorin ilmakehärata:
Alkukorkeus: 103,9 km
Loppukorkeus: 80,9 km
Alkupiste: 57,947N 12,568E
Loppupiste: 57,788N 12,266E
Suunta: 225,4°
Kallistuskulma: 42,4°
Tulonopeus: 61,9 km/s
Radiantin R,A,: 03:18 (49,7°)
Radiantin Dekl,: 57,7°
Meteoriparvi: Perseidit
Meteoroidin rataelementit:
Perihelietäisyys: 0,951 AU
Eksentrisyys: 1,056
Inklinaatio: 115,0°
Nousevan solmun pituus: 140,8°
Perihelin argumentti: 151,7°
Keskianomalia: 0,3°
Epookki: 2022 AUG 13 22:23:58
orbit plot

Ei-interaktiivinen kuvaaja | Interaktiivinen kuvaaja

position vs time
speed and acceleration