🇳🇴 🇬🇧 🇩🇪 🇨🇿 🇫🇮

Meteor, poloha: Tjøme 2022-08-14 00:16:11 UTC

Soubor KML  |  InteraktivnĂ­ mapa

Mapa zobrazuje dráhy meteoru. Světlejší čáry ukazují směry od pozorovacích stanic při objevení se meteoru a tmavší čáry, kde byl naposledy viděn. Modrá šipka značí viditelnou dráhu meteoru.

static map
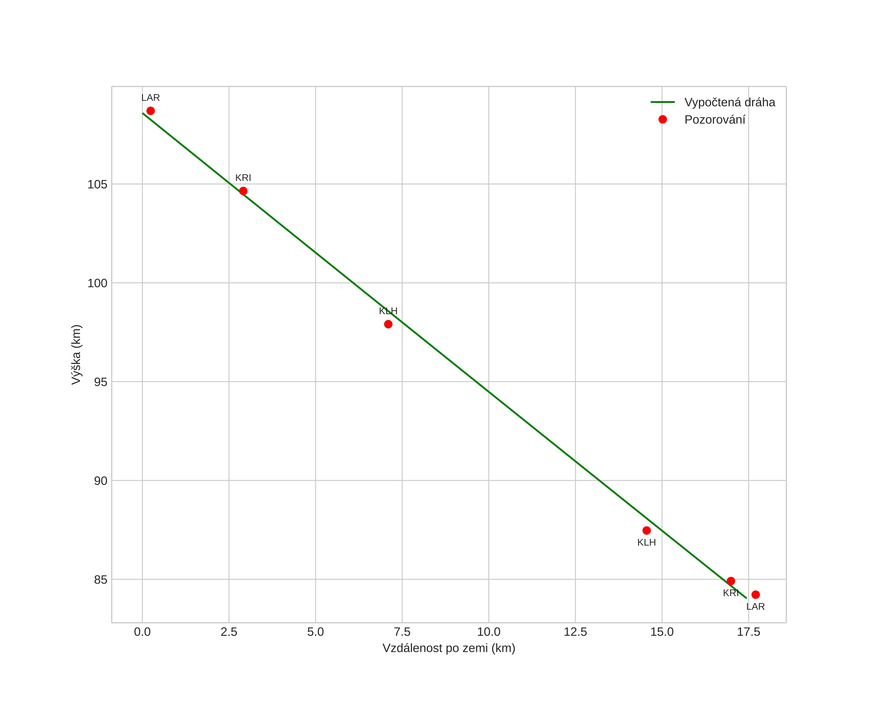
height profile
Atmosférická dráha meteoru:
Počáteční výška: 108,6 km
Konečná výška: 84,0 km
Počáteční poloha: 58,566N 10,674E
Konečná poloha: 58,481N 10,421E
Směr: 237,4°
Sklon: 54,6°
VstupnĂ­ rychlost: 66,3 km/s
Rektascenze radiantu: 03:14 (48,6°)
Deklinace radiantu: 59,0°
MeteorickĂ˝ roj: Perseidy
Elementy dráhy meteoroidu:
Vzdálenost v periheliu: 0,967 AU
Excentricita: 1,516
Sklon dráhy: 115,7°
Délka vzestupného uzlu: 140,9°
Argument perihelia: 157,5°
Střední anomálie: 5,4°
Epocha: 2022 AUG 14 00:16:11
orbit plot

NeinteraktivnĂ­ graf | InteraktivnĂ­ graf

position vs time
speed and acceleration