🇳🇴 🇬🇧 🇩🇪 🇨🇿 🇫🇮

Meteor Tjømen yllä 2022-08-14 00:16:11 UTC

KML-tiedosto  |  Interaktiivinen kartta

Kartta näyttää meteorin suuntahavainnot. Vaaleammat viivat näyttävät suunnat havaintoasemilta meteorin ilmestyessä, ja tummemmat viivat näyttävät, missä se viimeksi nähtiin. Sininen nuoli näyttää meteorin näkyvän lennon.

static map
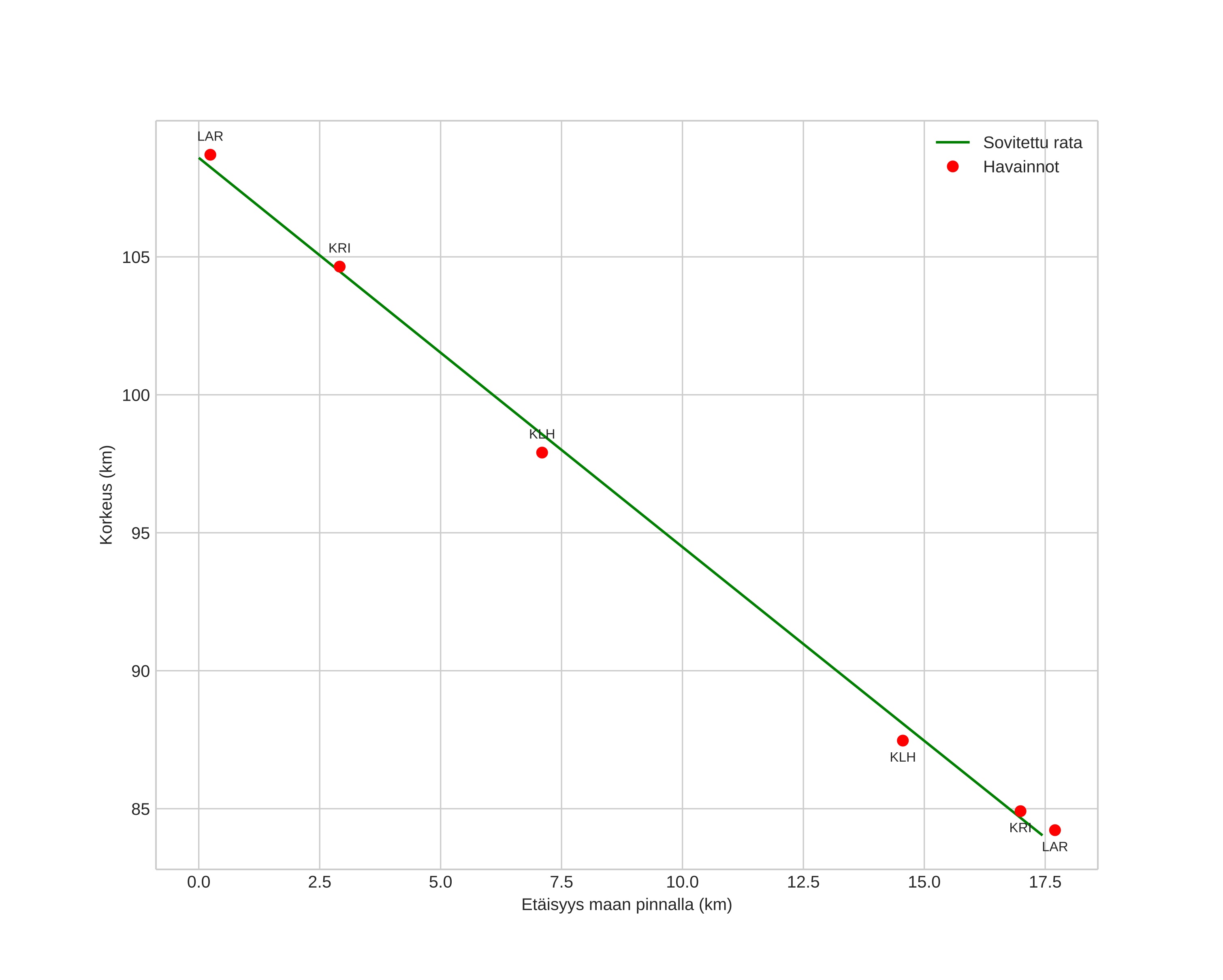
height profile
Meteorin ilmakehärata:
Alkukorkeus: 108,6 km
Loppukorkeus: 84,0 km
Alkupiste: 58,566N 10,674E
Loppupiste: 58,481N 10,421E
Suunta: 237,4°
Kallistuskulma: 54,6°
Tulonopeus: 66,3 km/s
Radiantin R,A,: 03:14 (48,6°)
Radiantin Dekl,: 59,0°
Meteoriparvi: Perseidit
Meteoroidin rataelementit:
Perihelietäisyys: 0,967 AU
Eksentrisyys: 1,516
Inklinaatio: 115,7°
Nousevan solmun pituus: 140,9°
Perihelin argumentti: 157,5°
Keskianomalia: 5,4°
Epookki: 2022 AUG 14 00:16:11
orbit plot

Ei-interaktiivinen kuvaaja | Interaktiivinen kuvaaja

position vs time
speed and acceleration