🇳🇴 🇬🇧 🇩🇪 🇨🇿 🇫🇮

Meteor, poloha: Bygland 2022-08-14 00:32:11 UTC

Soubor KML  |  InteraktivnĂ­ mapa

Mapa zobrazuje dráhy meteoru. Světlejší čáry ukazují směry od pozorovacích stanic při objevení se meteoru a tmavší čáry, kde byl naposledy viděn. Modrá šipka značí viditelnou dráhu meteoru.

static map
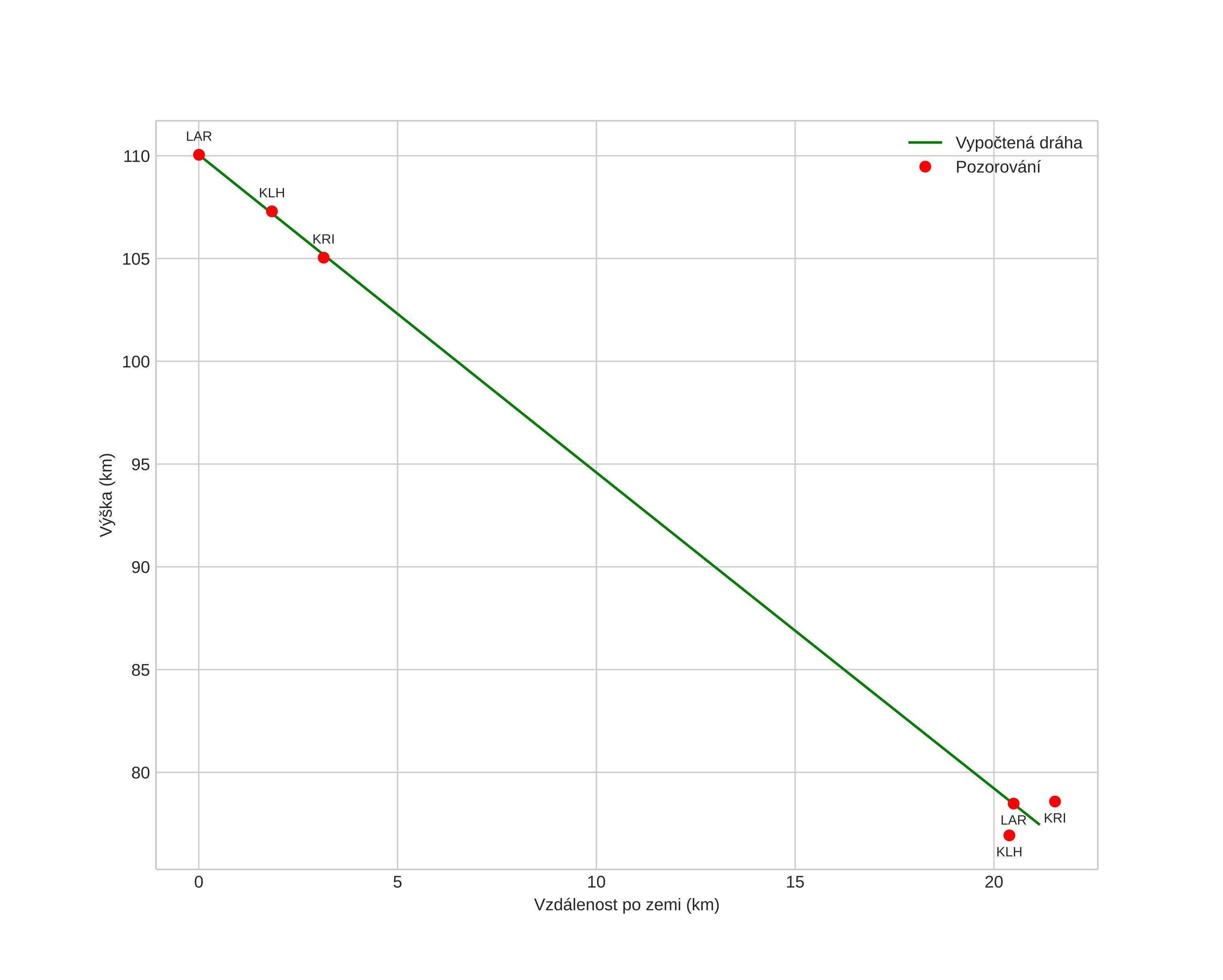
height profile
Atmosférická dráha meteoru:
Počáteční výška: 110,0 km
Konečná výška: 77,4 km
Počáteční poloha: 58,838N 8,183E
Konečná poloha: 58,737N 7,872E
Směr: 238,1°
Sklon: 57,0°
VstupnĂ­ rychlost: 63,0 km/s
Rektascenze radiantu: 03:04 (46,1°)
Deklinace radiantu: 60,0°
MeteorickĂ˝ roj: Perseidy
Elementy dráhy meteoroidu:
Vzdálenost v periheliu: 0,973 AU
Excentricita: 1,257
Sklon dráhy: 112,4°
Délka vzestupného uzlu: 140,9°
Argument perihelia: 158,3°
Střední anomálie: 1,9°
Epocha: 2022 AUG 14 00:32:11
orbit plot

NeinteraktivnĂ­ graf | InteraktivnĂ­ graf

position vs time
speed and acceleration