🇳🇴 🇬🇧 🇩🇪 🇨🇿 🇫🇮

Meteor Byglandin yllä 2022-08-14 00:32:11 UTC

KML-tiedosto  |  Interaktiivinen kartta

Kartta näyttää meteorin suuntahavainnot. Vaaleammat viivat näyttävät suunnat havaintoasemilta meteorin ilmestyessä, ja tummemmat viivat näyttävät, missä se viimeksi nähtiin. Sininen nuoli näyttää meteorin näkyvän lennon.

static map
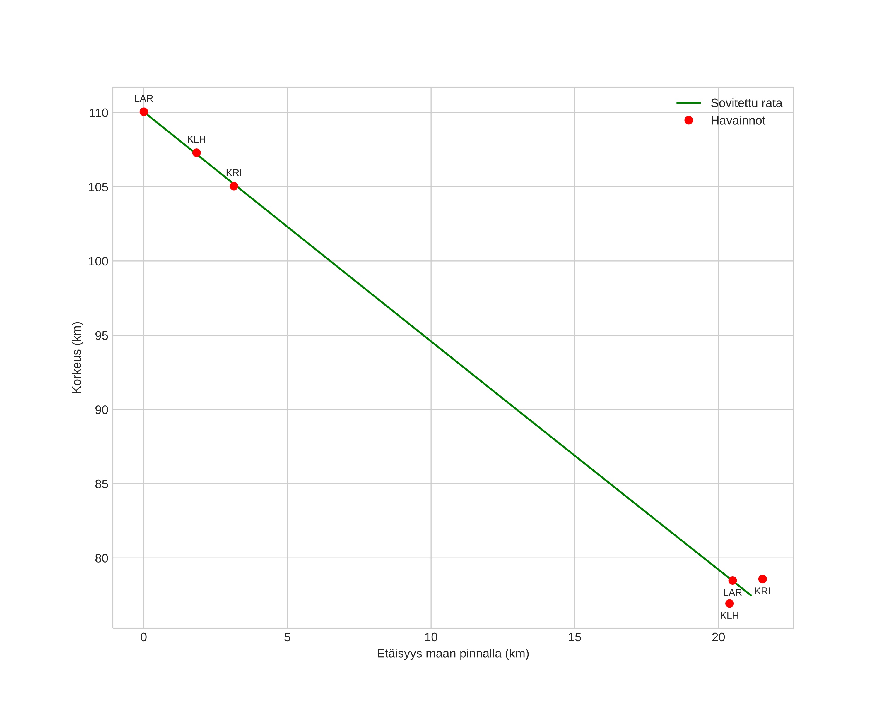
height profile
Meteorin ilmakehärata:
Alkukorkeus: 110,0 km
Loppukorkeus: 77,4 km
Alkupiste: 58,838N 8,183E
Loppupiste: 58,737N 7,872E
Suunta: 238,1°
Kallistuskulma: 57,0°
Tulonopeus: 63,0 km/s
Radiantin R,A,: 03:04 (46,1°)
Radiantin Dekl,: 60,0°
Meteoriparvi: Perseidit
Meteoroidin rataelementit:
Perihelietäisyys: 0,973 AU
Eksentrisyys: 1,257
Inklinaatio: 112,4°
Nousevan solmun pituus: 140,9°
Perihelin argumentti: 158,3°
Keskianomalia: 1,9°
Epookki: 2022 AUG 14 00:32:11
orbit plot

Ei-interaktiivinen kuvaaja | Interaktiivinen kuvaaja

position vs time
speed and acceleration