🇳🇴 🇬🇧 🇩🇪 🇨🇿 🇫🇮

Meteor, poloha: Skärhamn 2022-08-14 01:04:59 UTC

Soubor KML  |  InteraktivnĂ­ mapa

Mapa zobrazuje dráhy meteoru. Světlejší čáry ukazují směry od pozorovacích stanic při objevení se meteoru a tmavší čáry, kde byl naposledy viděn. Modrá šipka značí viditelnou dráhu meteoru.

static map
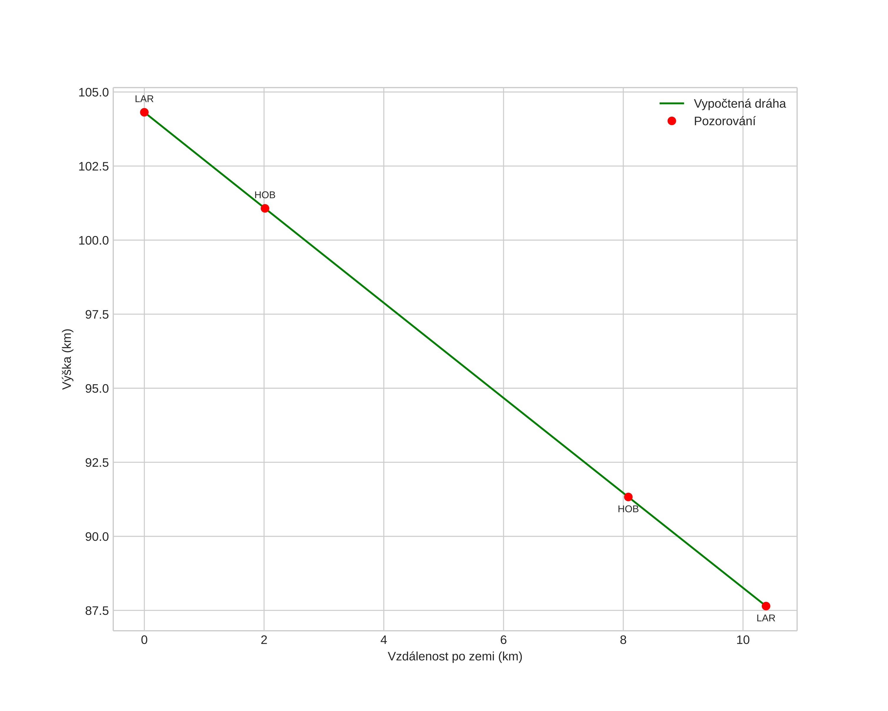
height profile
Atmosférická dráha meteoru:
Počáteční výška: 102,7 km
Konečná výška: 86,9 km
Počáteční poloha: 57,873N 11,349E
Konečná poloha: 57,823N 11,216E
Směr: 235,3°
Sklon: 58,8°
VstupnĂ­ rychlost: 58,8 km/s
Rektascenze radiantu: 03:35 (53,9°)
Deklinace radiantu: 61,7°
MeteorickĂ˝ roj: Perseidy
Elementy dráhy meteoroidu:
Vzdálenost v periheliu: 0,919 AU
Excentricita: 0,988
Sklon dráhy: 107,8°
Délka vzestupného uzlu: 140,9°
Argument perihelia: 144,4°
Střední anomálie: 0,0°
Epocha: 2022 AUG 14 01:04:59
orbit plot

NeinteraktivnĂ­ graf | InteraktivnĂ­ graf

position vs time
speed and acceleration