🇳🇴 🇬🇧 🇩🇪 🇨🇿 🇫🇮

Meteor Skärhamnin yllä 2022-08-14 01:04:59 UTC

KML-tiedosto  |  Interaktiivinen kartta

Kartta näyttää meteorin suuntahavainnot. Vaaleammat viivat näyttävät suunnat havaintoasemilta meteorin ilmestyessä, ja tummemmat viivat näyttävät, missä se viimeksi nähtiin. Sininen nuoli näyttää meteorin näkyvän lennon.

static map
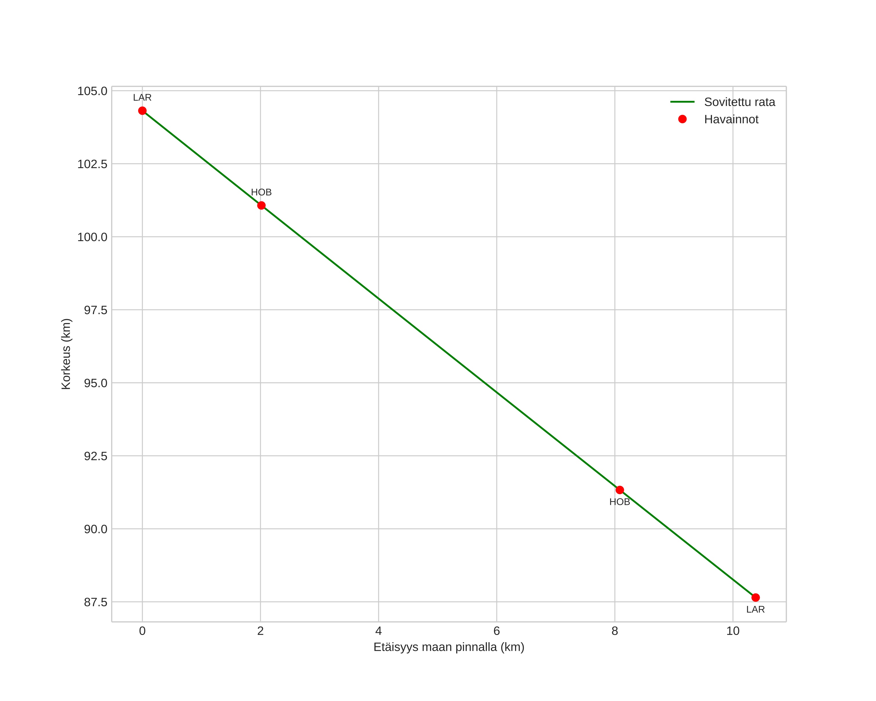
height profile
Meteorin ilmakehärata:
Alkukorkeus: 102,7 km
Loppukorkeus: 86,9 km
Alkupiste: 57,873N 11,349E
Loppupiste: 57,823N 11,216E
Suunta: 235,3°
Kallistuskulma: 58,8°
Tulonopeus: 58,8 km/s
Radiantin R,A,: 03:35 (53,9°)
Radiantin Dekl,: 61,7°
Meteoriparvi: Perseidit
Meteoroidin rataelementit:
Perihelietäisyys: 0,919 AU
Eksentrisyys: 0,988
Inklinaatio: 107,8°
Nousevan solmun pituus: 140,9°
Perihelin argumentti: 144,4°
Keskianomalia: 0,0°
Epookki: 2022 AUG 14 01:04:59
orbit plot

Ei-interaktiivinen kuvaaja | Interaktiivinen kuvaaja

position vs time
speed and acceleration