🇳🇴 🇬🇧 🇩🇪 🇨🇿 🇫🇮

Meteor, poloha: Tranebjerg 2022-08-20 02:01:19 UTC

Soubor KML  |  InteraktivnĂ­ mapa

Mapa zobrazuje dráhy meteoru. Světlejší čáry ukazují směry od pozorovacích stanic při objevení se meteoru a tmavší čáry, kde byl naposledy viděn. Modrá šipka značí viditelnou dráhu meteoru.

static map
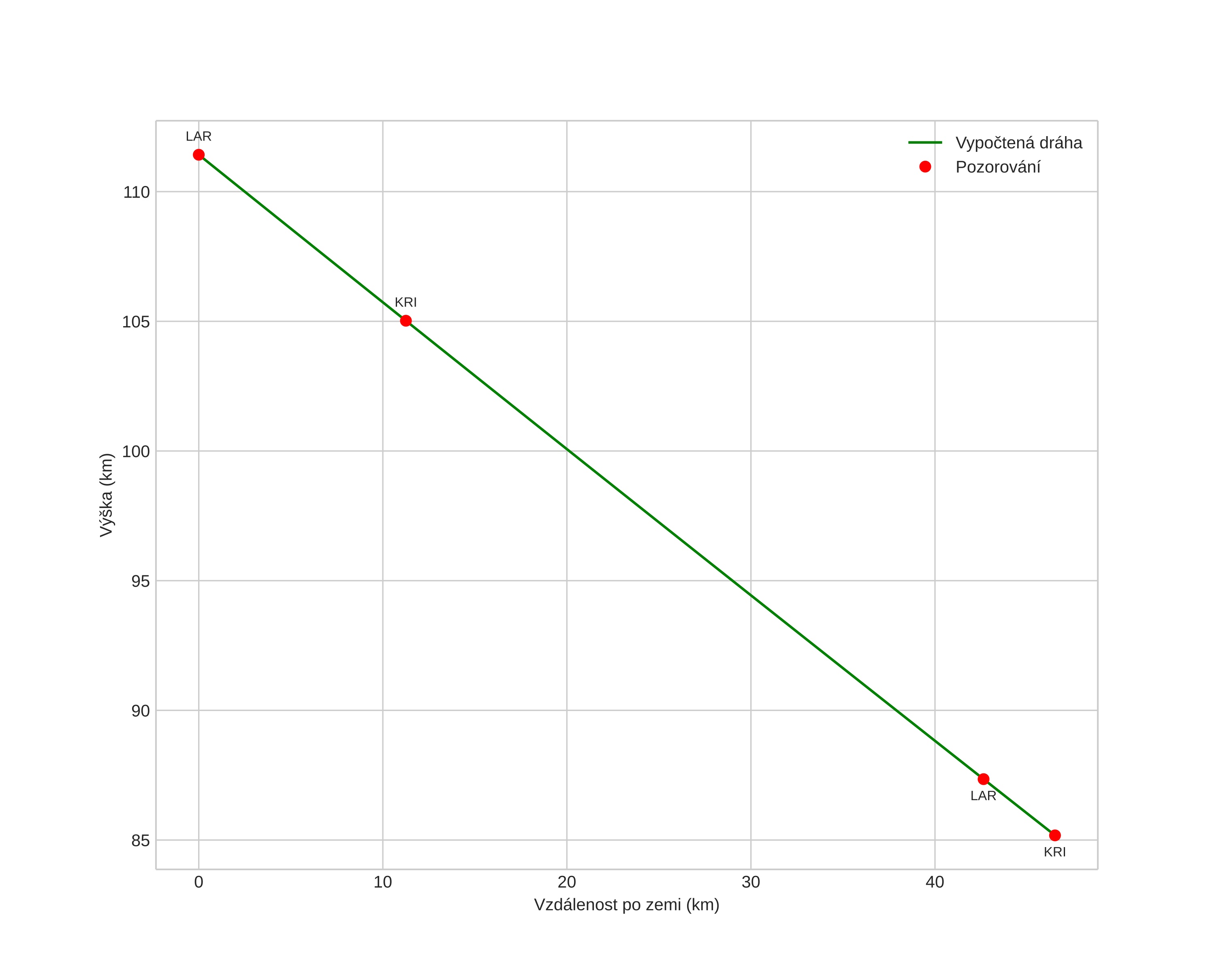
height profile
Atmosférická dráha meteoru:
Počáteční výška: 111,4 km
Konečná výška: 85,2 km
Počáteční poloha: 55,659N 11,440E
Konečná poloha: 55,863N 10,791E
Směr: 299,5°
Sklon: 29,4°
VstupnĂ­ rychlost: 71,4 km/s
Rektascenze radiantu: 04:00 (60,0°)
Deklinace radiantu: 8,9°
MeteorickĂ˝ roj: sporadickĂ˝
Elementy dráhy meteoroidu:
Vzdálenost v periheliu: 1,006 AU
Excentricita: 1,008
Sklon dráhy: 160,6°
Délka vzestupného uzlu: 326,8°
Argument perihelia: 351,1°
Střední anomálie: 0,0°
Epocha: 2022 AUG 20 02:01:19
orbit plot

NeinteraktivnĂ­ graf | InteraktivnĂ­ graf

position vs time
speed and acceleration