🇳🇴 🇬🇧 🇩🇪 🇨🇿 🇫🇮

Meteor Tranebjergin yllä 2022-08-20 02:01:19 UTC

KML-tiedosto  |  Interaktiivinen kartta

Kartta näyttää meteorin suuntahavainnot. Vaaleammat viivat näyttävät suunnat havaintoasemilta meteorin ilmestyessä, ja tummemmat viivat näyttävät, missä se viimeksi nähtiin. Sininen nuoli näyttää meteorin näkyvän lennon.

static map
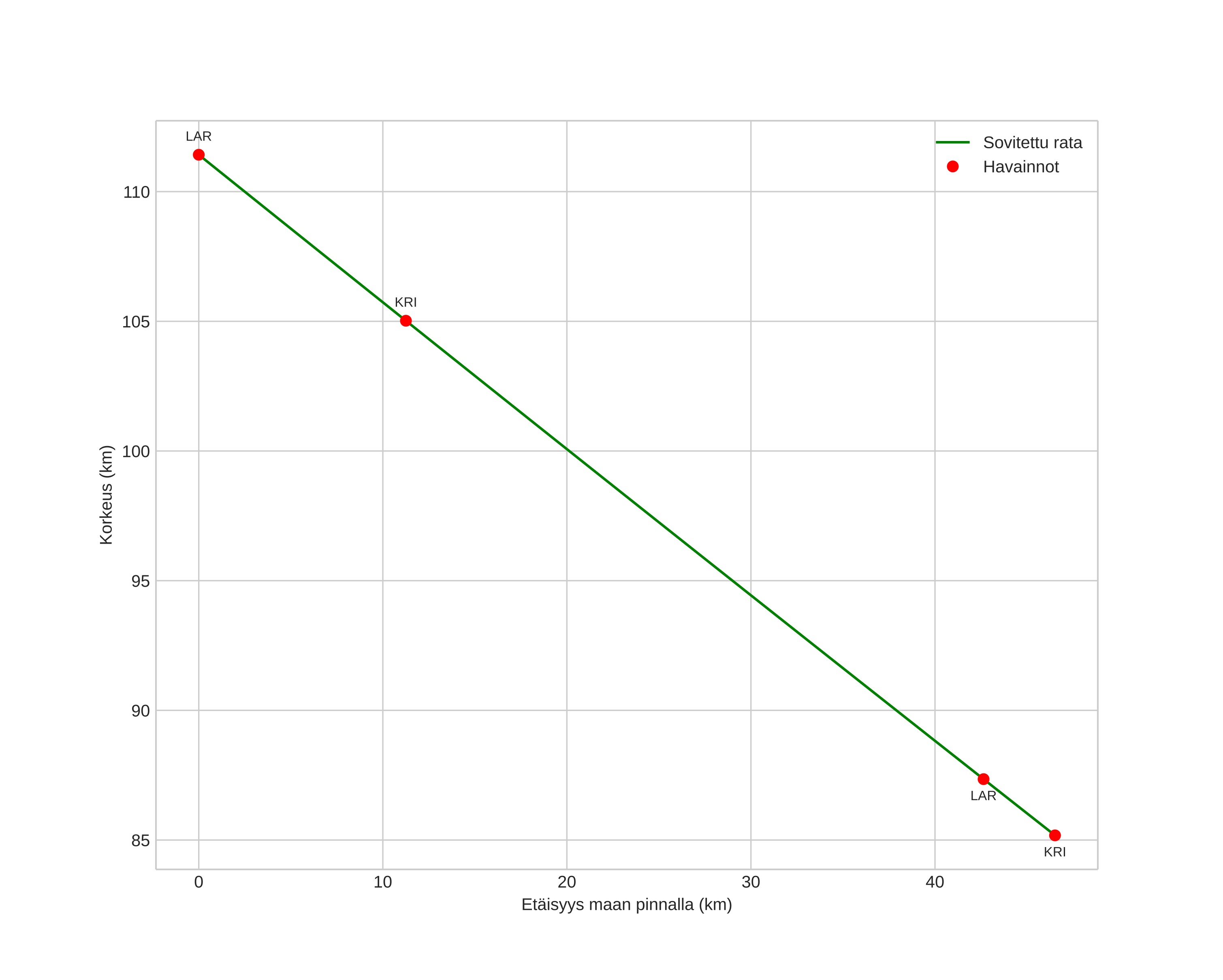
height profile
Meteorin ilmakehärata:
Alkukorkeus: 111,4 km
Loppukorkeus: 85,2 km
Alkupiste: 55,659N 11,440E
Loppupiste: 55,863N 10,791E
Suunta: 299,5°
Kallistuskulma: 29,4°
Tulonopeus: 71,4 km/s
Radiantin R,A,: 04:00 (60,0°)
Radiantin Dekl,: 8,9°
Meteoriparvi: Sporadinen
Meteoroidin rataelementit:
Perihelietäisyys: 1,006 AU
Eksentrisyys: 1,008
Inklinaatio: 160,6°
Nousevan solmun pituus: 326,8°
Perihelin argumentti: 351,1°
Keskianomalia: 0,0°
Epookki: 2022 AUG 20 02:01:19
orbit plot

Ei-interaktiivinen kuvaaja | Interaktiivinen kuvaaja

position vs time
speed and acceleration